Trang chủ Toán Học Lớp 11 trong mp (oxy) cho đường tròn (c): (x-1)^2+(y+2)^2=16 và vecto...

trong mp (oxy) cho đường tròn (c): (x-1)^2+(y+2)^2=16 và vecto v=(4;3). viết pt đường tròn (c') là ảnh của (c) qua phép T vecto v. giúp vs ạ

Câu hỏi :

trong mp (oxy) cho đường tròn (c): (x-1)^2+(y+2)^2=16 và vecto v=(4;3). viết pt đường tròn (c') là ảnh của (c) qua phép T vecto v. giúp vs ạ

Lời giải 1 :

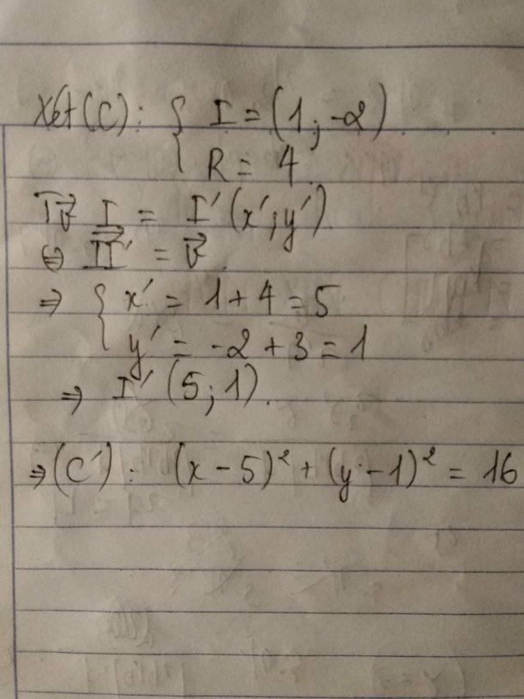
Đáp án:

Giải thích các bước giải:

image

Thảo luận

Lời giải 2 :

Giải thích các bước giải: đường tròn (C) có tâm I(1;-2) và R=4

Ta có T véctơ v (C)=(C') => R=R'=4

T vécto v I = I' => I'( 5;1) (*)

Thay (*) vào phương trình (C) : (x-5)^2 +(y-1)^2=16

Vậy (C') : (x-5)^2+(y-1)^2=16

Bạn có biết?

Toán học là môn khoa học nghiên cứu về các số, cấu trúc, không gian và các phép biến đổi. Nói một cách khác, người ta cho rằng đó là môn học về "hình và số". Theo quan điểm chính thống neonics, nó là môn học nghiên cứu về các cấu trúc trừu tượng định nghĩa từ các tiên đề, bằng cách sử dụng luận lý học (lôgic) và ký hiệu toán học. Các quan điểm khác của nó được miêu tả trong triết học toán. Do khả năng ứng dụng rộng rãi trong nhiều khoa học, toán học được mệnh danh là "ngôn ngữ của vũ trụ".

Nguồn : Wikipedia - Bách khoa toàn thư

Tâm sự 11

Lớp 11 - Năm thứ hai ở cấp trung học phổ thông, gần đến năm cuối cấp nên học tập là nhiệm vụ quan trọng nhất. Nghe nhiều đến định hướng sau này rồi học đại học. Ôi nhiều lúc thật là sợ, hoang mang nhưng các em hãy tự tin và tìm dần điều mà mình muốn là trong tương lai nhé!

Nguồn : ADMIN :))

Copyright © 2021 HOCTAP247