Trang chủ Hóa Học Lớp 9 Mọi người giúp em với ạ! hòa tan 18g hỗn...

Mọi người giúp em với ạ! hòa tan 18g hỗn hợp gồm bột Fe và bột Cu vào dung dịch HCL dư thấy có 5,04 lít khí hidro sinh ra (ở dktc). Tính thành phần phần trăm t

Câu hỏi :

Mọi người giúp em với ạ! hòa tan 18g hỗn hợp gồm bột Fe và bột Cu vào dung dịch HCL dư thấy có 5,04 lít khí hidro sinh ra (ở dktc). Tính thành phần phần trăm theo khối lượng mỗi kim loại trong hỗn hợp đầu.

Lời giải 1 :

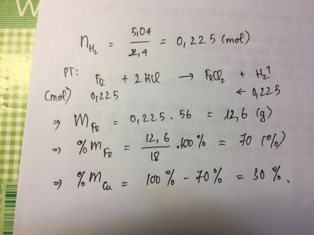
Đáp án:

 

Giải thích các bước giải:

 

image

Thảo luận

Lời giải 2 :

Giải thích các bước giải:

   Fe  +  2HCl  →  FeCl2 + H2 ↑

0,225                                  0,225

nH2=V/22,4=5,04/22,4=0,225 (mol)

mFe=n×M=0,225×56=12,6 (gam)

%mFe=12,6/18×100 = 70%

%mCu=100-70=30%

Chúc bạn học tốt nhé

 

Bạn có biết?

Hóa học, một nhánh của khoa học tự nhiên, là ngành nghiên cứu về thành phần, cấu trúc, tính chất, và sự thay đổi của vật chất.Hóa học nói về các nguyên tố, hợp chất, nguyên tử, phân tử, và các phản ứng hóa học xảy ra giữa những thành phần đó.Hóa học đôi khi được gọi là "khoa học trung tâm" vì nó là cầu nối các ngành khoa học tự nhiên khác như vật lý học, địa chất học và sinh học.

Nguồn : Wikipedia - Bách khoa toàn thư

Tâm sự 9

Lớp 9 - Là năm cuối ở cấp trung học cơ sở, sắp phải bước vào một kì thi căng thẳng và sắp chia tay bạn bè, thầy cô và cả kì vọng của phụ huynh ngày càng lớn mang tên "Lên cấp 3". Thật là áp lực nhưng các em hãy cứ tự tin vào bản thân là sẻ vượt qua nhé!

Nguồn : ADMIN :))

Copyright © 2021 HOCTAP247