Trang chủ Vật Lý Lớp 8 Bài 2. Hai người có khối lượng lần lượt là...

Bài 2. Hai người có khối lượng lần lượt là m, và m2. thứ nhất đứng trên tấm ván diện tích S,, người thứ hai đứng trên tấm ván diện tích S,. Nếu m,=1,2.m, v

Câu hỏi :

Vật Lí ạ. Giúp em với mọi người ơiiii

image

Lời giải 1 :

Đáp án + Giải thích các bước giải:

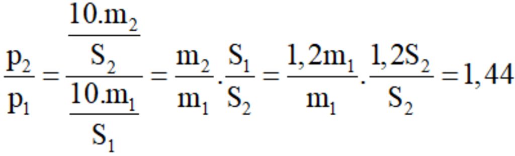
Áp lực tác dụng lên tấm ván có độ lớn bằng trọng lượng của người: F = P = 10.m

Áp suất của người thứ nhất tác dụng lên tấm ván điện tích S$_{1}$:

P$_{1}$ = $\frac{F1}{S1}$ = $\frac{10.m1}{S1}$ 

Áp suất của người thứ hai tác dụng lên tấm ván diện tích S$_{2}$ :

P$_{2}$ = $\frac{F2}{S2}$ = $\frac{10.m2}{S2}$ 

Lập tỷ số và thay số ta được: (hình bên dưới)

Vậy p$_{2}$ = 1,44p$_{1}$

image

Thảo luận

Lời giải 2 :

Đáp án:

          $p_2 = 1,44p_1$

Giải thích các bước giải:

$m_2 = 1,2m_1$

$S_1 = 1,2S_2 \Rightarrow S_2 = \dfrac{1}{1,2}S_1$

 Trọng lượng của người thứ nhất: 

    $P_1 = 10.m_1 (N)$

Trọng lượng của người thứ hai là: 

    $P_2 = 10.m_2 = 10.1,2m_1 = 12m_1 (N)$

Áp suất người thứ nhất tác dụng lên mặt đất: 

    $p_1 = \dfrac{P_1}{S_1} = \dfrac{10m_1}{S_1} (N/m^2)$

Áp suất người thứ hai tác dụng lên mặt đất: 

    $p_2 = \dfrac{P_2}{S_2} = \dfrac{12m_1}{\dfrac{1}{1,2}S_1} = 1,44\dfrac{10m_1}{S_1} = 1,44p_1$ (N/m^2)$

Vậy:    $p_2 = 1,44p_1$

Bạn có biết?

Vật lý học (tiếng Anh:physics, từ tiếng Hi Lạp cổ: φύσις có nghĩa là kiến thức về tự nhiên) là một môn khoa học tự nhiên tập trung vào sự nghiên cứu vật chất và chuyển động của nó trong không gian và thời gian, cùng với những khái niệm liên quan như năng lượng và lực.Vật lí học là một trong những bộ môn khoa học lâu đời nhất, với mục đích tìm hiểu sự vận động của vũ trụ.

Nguồn : Wikipedia - Bách khoa toàn thư

Tâm sự 8

Lớp 8 - Năm thứ ba ở cấp trung học cơ sở, học tập bắt đầu nặng dần, sang năm lại là năm cuối cấp áp lực lớn dần nhưng các em vẫn phải chú ý sức khỏe nhé!

Nguồn : ADMIN :))

Copyright © 2021 HOCTAP247