Trang chủ Hóa Học Lớp 10 Mọi người ới! Giải giúp em bài này với, em...

Mọi người ới! Giải giúp em bài này với, em không hiểu và cũng không biết làm câu hỏi 591468 - hoctapsgk.com

Câu hỏi :

Mọi người ới! Giải giúp em bài này với, em không hiểu và cũng không biết làm

image

Lời giải 1 :

Hoá học

image
image
image
image

Thảo luận

Lời giải 2 :

Đáp án:

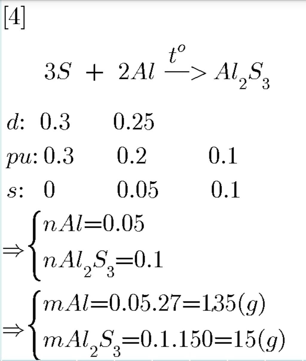
4,

\(\begin{array}{l}
2Al + 3S \to A{l_2}{S_3}\\
{n_S} = 0,3mol\\
{n_{Al}} = 0,25mol\\
\dfrac{{{n_{Al}}}}{2} > \dfrac{{{n_S}}}{3}
\end{array}\)

Al dư, \(A{l_2}{S_3}\) 

\(\begin{array}{l}
{m_{Al dư}} = 0,25 - \dfrac{2}{3} \times 0,3 = 0,05mol \to m = 1,35g\\
{m_{A{l_2}{S_3}}} = \dfrac{1}{3} \times 0,3 \times 150 = 15g
\end{array}\)

5,

\(\begin{array}{l}
2Na + S \to N{a_2}S\\
{n_S} = 0,1mol\\
{n_{Na}} = 0,1mol\\
\dfrac{{{n_{Na}}}}{2} < \dfrac{{{n_S}}}{1}
\end{array}\)

\(\begin{array}{l}
{m_{S dư}} = 0,1 - \dfrac{1}{2} \times 0,1 = 0,05mol \to m = 1,6g\\
{m_{N{a_2}S}} = 0,1 \times \dfrac{1}{2} \times 78 = 3,9g
\end{array}\)

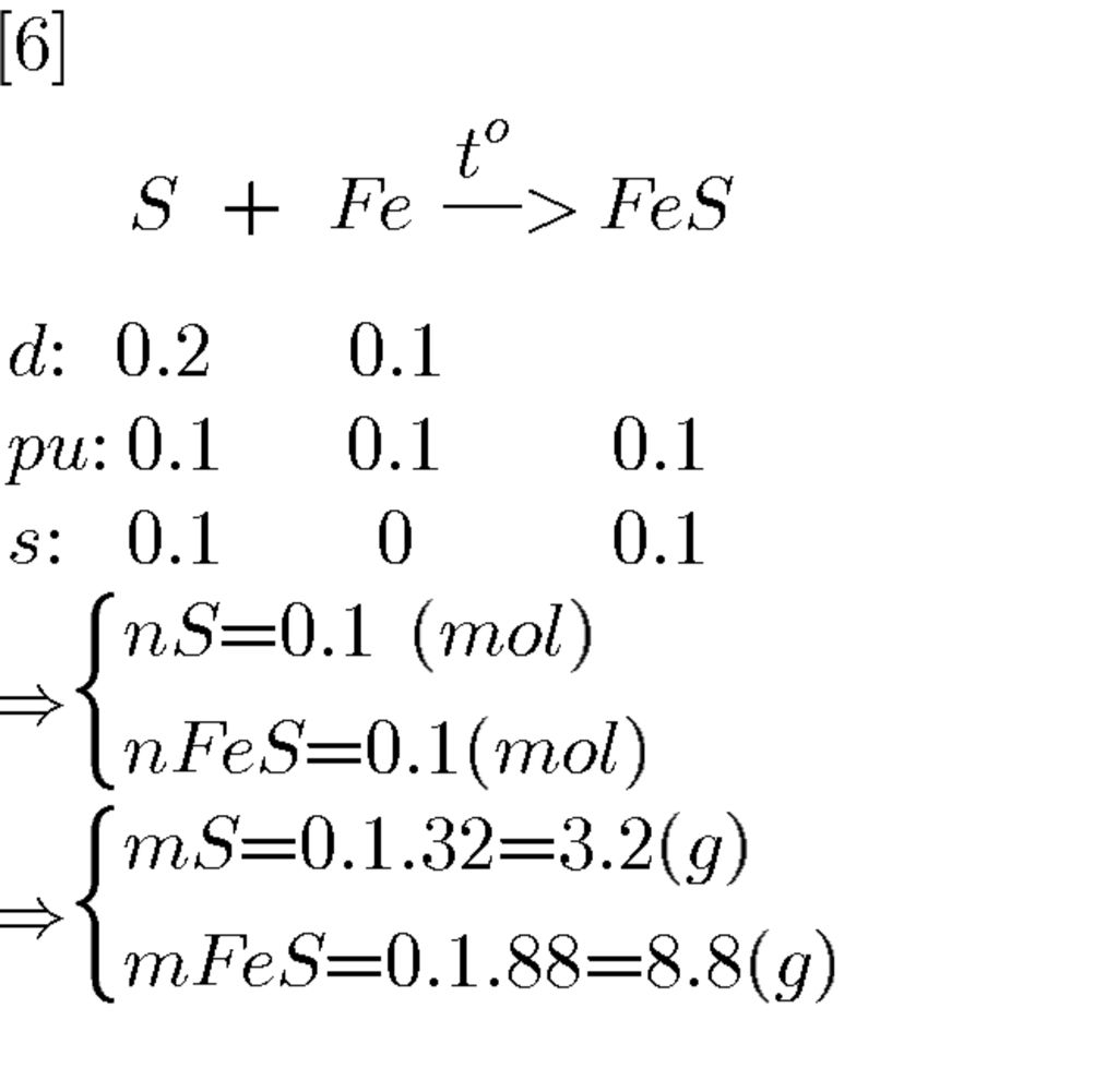
6,

\(\begin{array}{l}
S + Fe \to FeS\\
{n_S} = 0,2mol\\
{n_{Fe}} = 0,1mol
\end{array}\)

S dư

\(\begin{array}{l}
{m_{Sdu}} = 0,1 \times 32 = 3,2g\\
{m_{FeS}} = 0,1 \times 88 = 8,8g
\end{array}\)

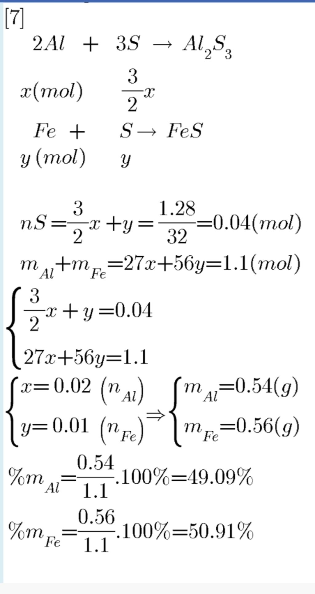
7,

Gọi a và b là số mol của S trong 2 phương trình

\(\begin{array}{l}
S + Fe \to FeS\\
3S + 2Al \to A{l_2}{S_3}\\
\left\{ \begin{array}{l}
a + b = 0,04\\
56a + 18b = 1,1
\end{array} \right.
\end{array}\)

a=0,01 b=0,03

\(\begin{array}{l}
\% {m_{Fe}} = \dfrac{{0,01 \times 56}}{{1,1}} \times 100\%  = 50,9\% \\
\% {m_{Al}} = 49,1\% 
\end{array}\)

Bạn có biết?

Hóa học, một nhánh của khoa học tự nhiên, là ngành nghiên cứu về thành phần, cấu trúc, tính chất, và sự thay đổi của vật chất.Hóa học nói về các nguyên tố, hợp chất, nguyên tử, phân tử, và các phản ứng hóa học xảy ra giữa những thành phần đó.Hóa học đôi khi được gọi là "khoa học trung tâm" vì nó là cầu nối các ngành khoa học tự nhiên khác như vật lý học, địa chất học và sinh học.

Nguồn : Wikipedia - Bách khoa toàn thư

Tâm sự 10

Lớp 10 - Năm thứ nhất ở cấp trung học phổ thông, năm đầu tiên nên có nhiều bạn bè mới đến từ những nơi xa hơn vì ngôi trường mới lại mỗi lúc lại xa nhà mình hơn. Được biết bên ngoài kia là một thế giới mới to và nhiều điều thú vị, một trang mới đang chò đợi chúng ta.

Nguồn : ADMIN :))

Copyright © 2021 HOCTAP247