Trang chủ Toán Học Lớp 6 tìm x, y, z biết 5/10=x/2=y/8=z/14 giúp mình nhanh nha,...

tìm x, y, z biết 5/10=x/2=y/8=z/14 giúp mình nhanh nha, tối nay mình nạp rồi câu hỏi 3597833 - hoctapsgk.com

Câu hỏi :

tìm x, y, z biết 5/10=x/2=y/8=z/14 giúp mình nhanh nha, tối nay mình nạp rồi

Lời giải 1 :

Ta có:

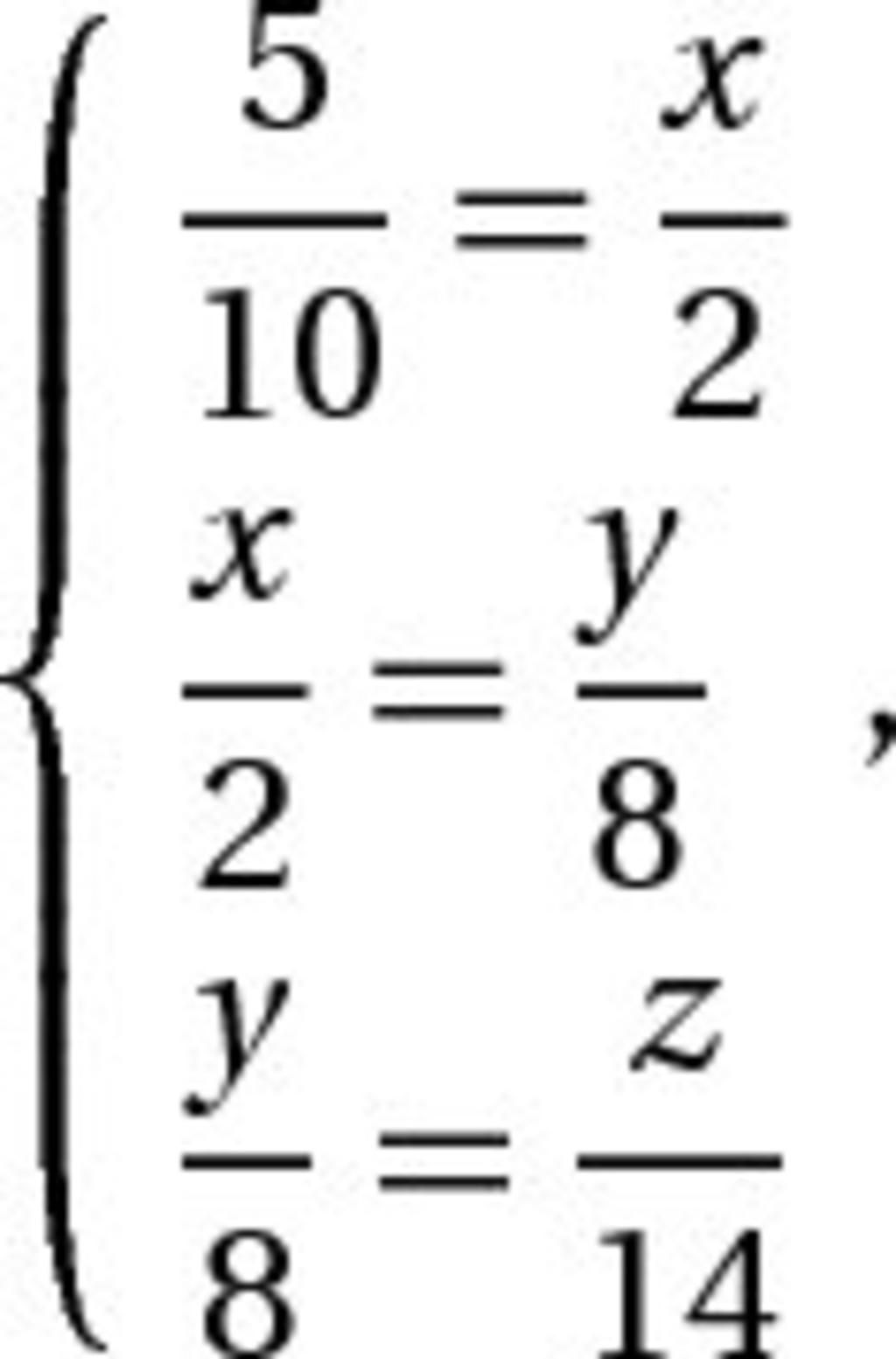
`5/10 = x/2 = y/8 = z/14`

`=> x/2 = y/8 = z/14 = 1/2`

Suy ra:

`x = 1/2 . 2 = 1`

`y = 1/2 . 8 = 4`

`z = 1/2 . 14 = 7`

Vậy `x = 1 `

       `y = 4`

       `z = 7`

Thảo luận

-- cám ơn bạn nhiều nha

Lời giải 2 :

Đáp án:

 

Giải thích các bước giải:

 

image
image
image

Bạn có biết?

Toán học là môn khoa học nghiên cứu về các số, cấu trúc, không gian và các phép biến đổi. Nói một cách khác, người ta cho rằng đó là môn học về "hình và số". Theo quan điểm chính thống neonics, nó là môn học nghiên cứu về các cấu trúc trừu tượng định nghĩa từ các tiên đề, bằng cách sử dụng luận lý học (lôgic) và ký hiệu toán học. Các quan điểm khác của nó được miêu tả trong triết học toán. Do khả năng ứng dụng rộng rãi trong nhiều khoa học, toán học được mệnh danh là "ngôn ngữ của vũ trụ".

Nguồn : Wikipedia - Bách khoa toàn thư

Tâm sự 6

Lớp 6 - Là năm đầu tiên của cấp trung học cơ sở. Được sống lại những khỉ niệm như ngày nào còn lần đầu đến lớp 1, được quen bạn mới, ngôi trường mới, một tương lai mới!

Nguồn : ADMIN :))

Copyright © 2021 HOCTAP247