Trang chủ Toán Học Lớp 6 1. Tính -1. -7 5 12 11 2. -3 6...

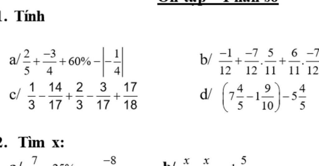
1. Tính -1. -7 5 12 11 2. -3 6 -T + 60% 4 b/ 12 11 12 14 2 17 4 4 d/ c/ 3 17 3 -1- -5- 5 10 - 17 18 5 2. Tìm x: -8 ы х х

Câu hỏi :

Ai giúp em làm mấy bài này với ạ,em cảm ơn

image

Lời giải 1 :

Không hiểu chữ nào hỏi mình nhé

image
image

Thảo luận

Lời giải 2 :

Đáp án:

a) đổi 60 phần trăm ra phân số

2 phần 5+(-3 phần 5)+3 phần 5 - 1 phần 4 rồi bắt đầu tính
= 2 phần 5+(-3 phần 5 + 3 phần 5)- 1 phần 4

=2 phần 5 +0 -1 phần 4

cái này mình làm tắc nha bạn nào muốn tính luôn thì tính nha

kết quả câu a ra 3 phần 20

b) mình sẽ xếp chúng thành 1 cụm nha

=(-1 phần 12+-7 phần 12.-7 phần 12).5 phần 11+6 phần 11

=(-2 phần 3. -7 phần 12). 1

=7 phần 18 .1

=7 phần 18

c) 

=(1 phần 3-2 phần 3)+(14 phần 17+3 phần 17)+ 17 phần 18

 = -1 phần 3 +1 +17 phần 18

= mình làm tắc nha

kêt quả là 29 phần 18

d)mình đổi ra 

=(39 phần 5- 19 phần 10) -29 phần 5

=59 phần 10- 29 phần 5

= 1 phần 10

Giải thích các bước giải:

 câu a đổi cái -1 phần 4 ra 1 phần 4 vì nằm trong dấu đó và cùngó dấu - nữa nên đổi sang dương

chú ý các bạn lớp 6 ko đc ghi tắc giống mn nha 

Hay thì cho 5 sao nhé

Bạn có biết?

Toán học là môn khoa học nghiên cứu về các số, cấu trúc, không gian và các phép biến đổi. Nói một cách khác, người ta cho rằng đó là môn học về "hình và số". Theo quan điểm chính thống neonics, nó là môn học nghiên cứu về các cấu trúc trừu tượng định nghĩa từ các tiên đề, bằng cách sử dụng luận lý học (lôgic) và ký hiệu toán học. Các quan điểm khác của nó được miêu tả trong triết học toán. Do khả năng ứng dụng rộng rãi trong nhiều khoa học, toán học được mệnh danh là "ngôn ngữ của vũ trụ".

Nguồn : Wikipedia - Bách khoa toàn thư

Tâm sự 6

Lớp 6 - Là năm đầu tiên của cấp trung học cơ sở. Được sống lại những khỉ niệm như ngày nào còn lần đầu đến lớp 1, được quen bạn mới, ngôi trường mới, một tương lai mới!

Nguồn : ADMIN :))

Copyright © 2021 HOCTAP247