Trang chủ Toán Học Lớp 7 Bài 1:Cho tam giác ABC nhọn có N là trung...

Bài 1:Cho tam giác ABC nhọn có N là trung điểm BC. Trên tia đối của tia NA, lấy điểm D sao cho ND = NA.a/ Chứng minh tam giác ANB = tam giác DNC và AB= DC. b/

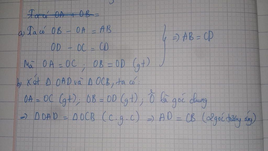
Câu hỏi :

Bài 1:Cho tam giác ABC nhọn có N là trung điểm BC. Trên tia đối của tia NA, lấy điểm D sao cho ND = NA.a/ Chứng minh tam giác ANB = tam giác DNC và AB= DC. b/ Kẻ AH vuông góc với BC (H thuộc BC), trên tia đối của tia HA, lấy điểm E sao cho HE = HA, chứng minh tam giác AHB = tam giác EHB .c/ Chứng minh BE = CD. Bài 2:Cho xOy nhọn, trên tia Ox lấy 2 điểm A, B sao cho OA

Lời giải 1 :

Đáp án:

 

Giải thích các bước giải:

 

image
image
image
image

Thảo luận

-- Bạn tự xem thứ tự nha, lúc mình gửi ảnh bị lộn với nhau ạ💖

Bạn có biết?

Toán học là môn khoa học nghiên cứu về các số, cấu trúc, không gian và các phép biến đổi. Nói một cách khác, người ta cho rằng đó là môn học về "hình và số". Theo quan điểm chính thống neonics, nó là môn học nghiên cứu về các cấu trúc trừu tượng định nghĩa từ các tiên đề, bằng cách sử dụng luận lý học (lôgic) và ký hiệu toán học. Các quan điểm khác của nó được miêu tả trong triết học toán. Do khả năng ứng dụng rộng rãi trong nhiều khoa học, toán học được mệnh danh là "ngôn ngữ của vũ trụ".

Nguồn : Wikipedia - Bách khoa toàn thư

Tâm sự 7

Lớp 7 - Năm thứ hai ở cấp trung học cơ sở, một cuồng quay mới lại đến vẫn bước tiếp trên đường đời học sinh. Học tập vẫn là nhiệm vụ chính!

Nguồn : ADMIN :))

Copyright © 2021 HOCTAP247