Trang chủ Hóa Học Lớp 12 huynh đệ nào giúp e câu này vs ạ câu...

huynh đệ nào giúp e câu này vs ạ câu hỏi 3037537 - hoctapsgk.com

Câu hỏi :

huynh đệ nào giúp e câu này vs ạ

image

Lời giải 1 :

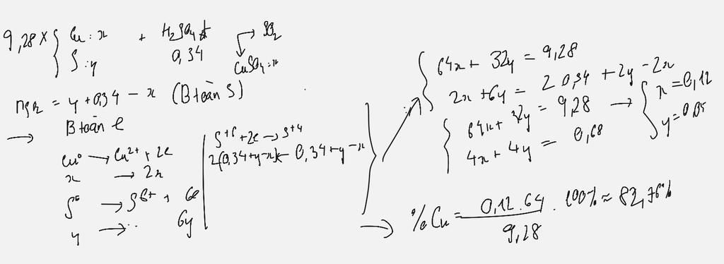
Bạn xem hình nhé  :3

image
image

Thảo luận

-- hjhj
-- :DDD
-- ko sao b ưiiiiiii
-- uôi b tốt thực sự ấyyy
-- hì tks bạn :DDD
-- thôi b đi ngủ đi giứ gìn sức khỏe b oi
-- chúc ngủ ngon nha :))))))
-- ok cảm ơn bạn nhìu tks bạn bạn ngủ ngon nha :3

Lời giải 2 :

Đáp án:

 \(A\)

Giải thích các bước giải:

Gọi số mol \(Cu\) và \(Cu_2S\) lần lượt là \(x;y\)

\(64x + 160y = 9,28{\text{ gam}}\)

Phản ứng xảy ra:

\(Cu + 2{H_2}S{O_4}\xrightarrow{{{t^o}}}CuS{O_4} + S{O_2} + 2{H_2}O\)

\(C{u_2}S + 6{H_2}S{O_4}\xrightarrow{{{t^o}}}2CuS{O_4} + 5S{O_2} + 6{H_2}O\)

\({n_{{H_2}S{O_4}}} = 2x + 6y = 0,34\)

Giải được:

\(x=0,02;y=0,05\)

\( \to {m_{Cu}} = 0,02.64 = 1,28{\text{ gam}}\)

\( \to \% {m_{Cu}} = \frac{{1,28}}{{9,28}} = 13,793\% \)

Bạn có biết?

Hóa học, một nhánh của khoa học tự nhiên, là ngành nghiên cứu về thành phần, cấu trúc, tính chất, và sự thay đổi của vật chất.Hóa học nói về các nguyên tố, hợp chất, nguyên tử, phân tử, và các phản ứng hóa học xảy ra giữa những thành phần đó.Hóa học đôi khi được gọi là "khoa học trung tâm" vì nó là cầu nối các ngành khoa học tự nhiên khác như vật lý học, địa chất học và sinh học.

Nguồn : Wikipedia - Bách khoa toàn thư

Tâm sự 12

Lớp 12 - Năm cuối ở cấp tiểu học, năm học quan trọng nhất trong đời học sinh trải qua bao năm học tập, bao nhiêu kì vọng của người thân xung quanh ta. Những nỗi lo về thi đại học và định hướng tương lai thật là nặng. Hãy tin vào bản thân là mình sẽ làm được rồi tương lai mới chờ đợi các em!

Nguồn : ADMIN :))

Copyright © 2021 HOCTAP247