Trang chủ Tin Học Lớp 10 câu 2: tỉ số về dung lượng của 2 USB...

câu 2: tỉ số về dung lượng của 2 USB là 1/2 .Nếu dung lượng của 2 USB đều tăng gấp 3 lần thì thì ta được tổng dung lượng mới là 18GB . Hãy cho biết mỗi dung lư

Câu hỏi :

câu 2: tỉ số về dung lượng của 2 USB là 1/2 .Nếu dung lượng của 2 USB đều tăng gấp 3 lần thì thì ta được tổng dung lượng mới là 18GB . Hãy cho biết mỗi dung lượng USB có dung lượng là bao nhiêu KB?

Lời giải 1 :

Gọi dung lượng của USB có dung lượng lớn hơn là 2a (GB), => USB còn lại là a 

=> 3(2a+a) = 18

=> a = 2gb = 2.$2^{10}$.$2^{10}$ = 2.$2^{20}$ KB

=> 2 USB có dung lượng là 2.$2^{20}$ KB và 4.$2^{20}$ KB

Thảo luận

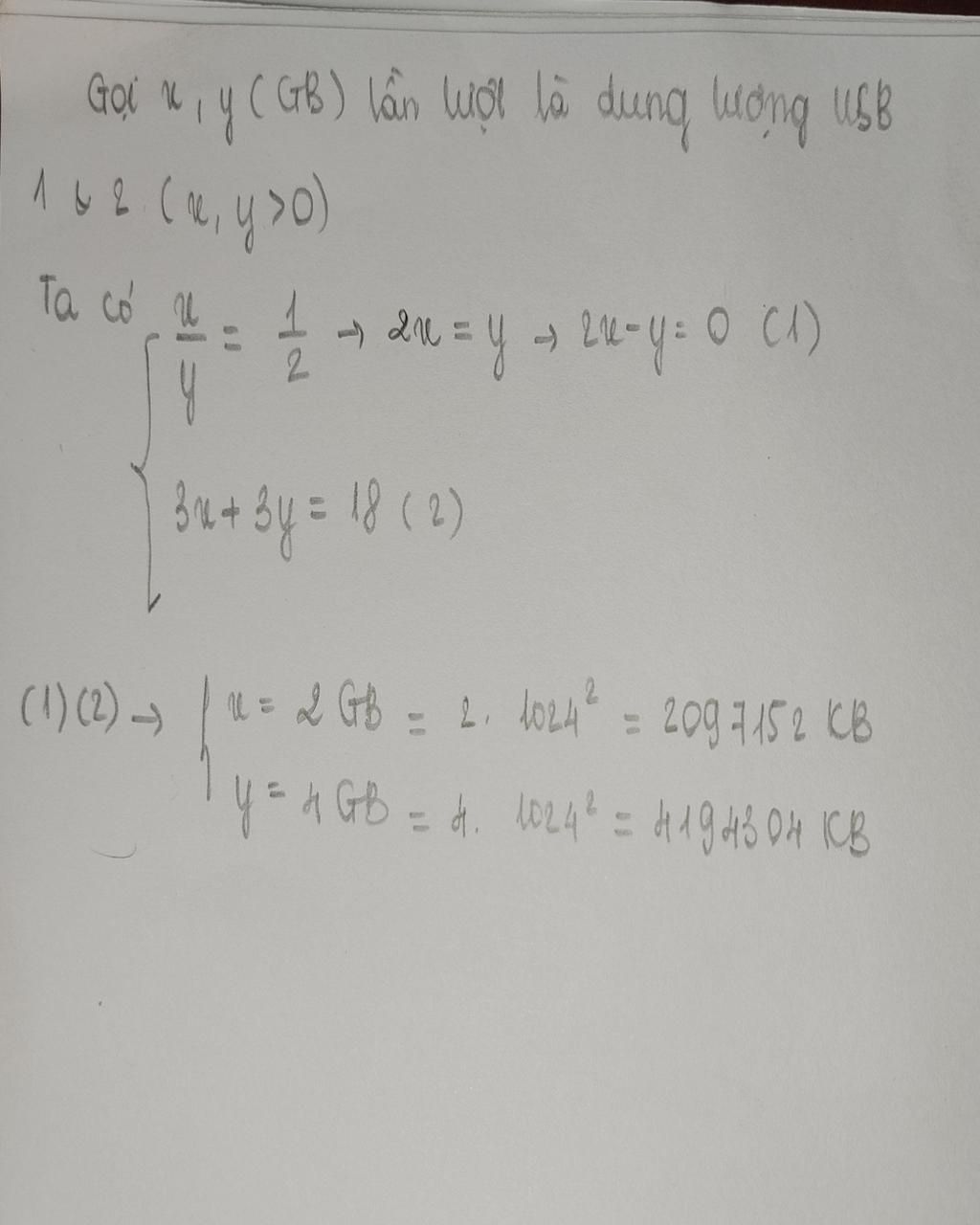
Lời giải 2 :

Đáp án+Giải thích
image

Bạn có biết?

Tin học, tiếng Anh: informatics, tiếng Pháp: informatique, là một ngành khoa học chuyên nghiên cứu quá trình tự động hóa việc tổ chức, lưu trữ, xử lý và truyền dẫn thông tin của một hệ thống máy tính cụ thể hoặc trừu tượng (ảo). Với cách hiểu hiện nay, tin học bao hàm tất cả các nghiên cứu và kỹ thuật có liên quan đến việc mô phỏng, biến đổi và tái tạo thông tin.

Nguồn : Wikipedia - Bách khoa toàn thư

Tâm sự 10

Lớp 10 - Năm thứ nhất ở cấp trung học phổ thông, năm đầu tiên nên có nhiều bạn bè mới đến từ những nơi xa hơn vì ngôi trường mới lại mỗi lúc lại xa nhà mình hơn. Được biết bên ngoài kia là một thế giới mới to và nhiều điều thú vị, một trang mới đang chò đợi chúng ta.

Nguồn : ADMIN :))

Copyright © 2021 HOCTAP247