Trang chủ Toán Học Lớp 10 Trên đường tròn lượng giác cho điểm M xác định...

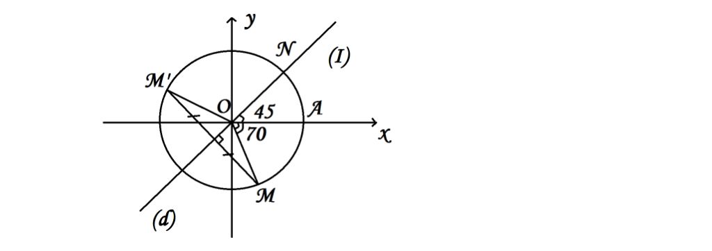
Trên đường tròn lượng giác cho điểm M xác định bởi số đo AM = -70 độ với A(1; 0). Gọi M1 là điểm đối xứng của M qua đường phân giác của góc phần tư thứ I. Số đ

Câu hỏi :

Trên đường tròn lượng giác cho điểm M xác định bởi số đo AM = -70 độ với A(1; 0). Gọi M1 là điểm đối xứng của M qua đường phân giác của góc phần tư thứ I. Số đo của cung lượng giác AM1

Lời giải 1 :

Đáp án:

sđ cung lg giác AM = -70 độ => góc MOA = 70 độ

Có phân giác của góc phần tư thứ nhất (d) cắt đường tròn tại N 

=> góc AON = góc NOy = 45 độ => cung lg giác AN = cung lg giác Ny = 45 độ

=> góc MON = góc AON + góc MOA = 45 + 70 = 115 độ

Có M' đối xứng với M qua đường phân giác của góc phần tư thứ I

=> M' thuộc đường tròn

Xét tam giác MON cân tại O có ON là đường cao => ON là đường phân giác  

=> góc MOd = góc M'Od

mà có góc MON = 180 - góc MOd và góc M'ON = 180 - góc M'Od (kề bù)

=> góc MON = góc M'ON = 115 độ 

=> số đo cung lg giác NM' = 115 độ 

Vậy số đo cung lg giác AM' = cung lg giác AN + cung lg giác  NM' = 45 + 115 = 160 độ 

#NOCOPY

 

image

Thảo luận

Bạn có biết?

Toán học là môn khoa học nghiên cứu về các số, cấu trúc, không gian và các phép biến đổi. Nói một cách khác, người ta cho rằng đó là môn học về "hình và số". Theo quan điểm chính thống neonics, nó là môn học nghiên cứu về các cấu trúc trừu tượng định nghĩa từ các tiên đề, bằng cách sử dụng luận lý học (lôgic) và ký hiệu toán học. Các quan điểm khác của nó được miêu tả trong triết học toán. Do khả năng ứng dụng rộng rãi trong nhiều khoa học, toán học được mệnh danh là "ngôn ngữ của vũ trụ".

Nguồn : Wikipedia - Bách khoa toàn thư

Tâm sự 10

Lớp 10 - Năm thứ nhất ở cấp trung học phổ thông, năm đầu tiên nên có nhiều bạn bè mới đến từ những nơi xa hơn vì ngôi trường mới lại mỗi lúc lại xa nhà mình hơn. Được biết bên ngoài kia là một thế giới mới to và nhiều điều thú vị, một trang mới đang chò đợi chúng ta.

Nguồn : ADMIN :))

Copyright © 2021 HOCTAP247