Trang chủ Toán Học Lớp 6 Chứng tỏ rằng : ............................ câu hỏi 3051607 - hoctapsgk.com

Chứng tỏ rằng : ............................ câu hỏi 3051607 - hoctapsgk.com

Câu hỏi :

Chứng tỏ rằng : ............................

image

Lời giải 1 :

Đáp án:

 

Giải thích các bước giải:

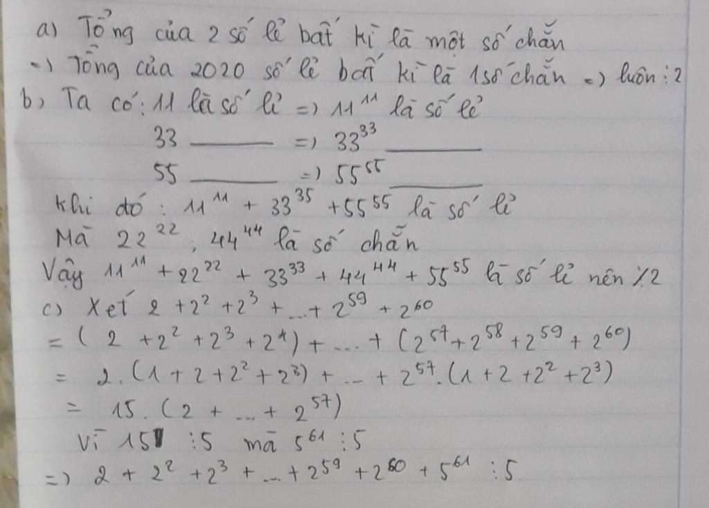
 a) Tổng của 2 020 số lẻ bất kì luôn chia hết cho 2;

- Tổng của hai số lẻ bất kì là một số chẵn nên tổng của 2020 số lẻ bất kì là một số chẵn nên chia hết cho 2.

b) 1111 + 2222 + 3333 + 4444 + 5555 không chia hết cho 2;

- Ta có:

+ 11 là số lẻ nên 1111 là số lẻ;

+ 33 là số lẻ nên 3333 là số lẻ;

+ 55 là số lẻ nên 5555 là số lẻ;

- Khi đó: 1111 + 3333 + 5555 là số lẻ

- Mặt khác 2222; 4444 là các số chẵn nên 2222 + 4444 là số chẵn.

→ Vậy 1111 + 2222 + 3333 + 4444 + 5555 là số lẻ nên không chia hết cho 2.

c) 2 + 22 + 23 + … + 259 + 260 + 561 chia hết cho 5.

Xét 2 + 22 + 23 + … + 259 + 260 

= (2 + 22 + 23 + 24) + (25 + 26 + 27 + 28) + … + (257 + 258 + 259 + 260)

= 2(1 + 2 + 22 + 23) + 25.(1 + 2 + 22 + 23) + … + 257.(1 + 2 + 22 + 23

= 2.15 + 25.15 + … + 257.15

= 15.(2 + 25 + … + 257)

Vì 155 nên 15.(2 + 25 + … + 257)5 mà 561 cũng chia hết cho 5.

Nên 2 + 22 + 23 + … + 259 + 260 + 561 chia hết cho 5.

Thảo luận

Lời giải 2 :

Chúc bạn học tốt

image

Bạn có biết?

Toán học là môn khoa học nghiên cứu về các số, cấu trúc, không gian và các phép biến đổi. Nói một cách khác, người ta cho rằng đó là môn học về "hình và số". Theo quan điểm chính thống neonics, nó là môn học nghiên cứu về các cấu trúc trừu tượng định nghĩa từ các tiên đề, bằng cách sử dụng luận lý học (lôgic) và ký hiệu toán học. Các quan điểm khác của nó được miêu tả trong triết học toán. Do khả năng ứng dụng rộng rãi trong nhiều khoa học, toán học được mệnh danh là "ngôn ngữ của vũ trụ".

Nguồn : Wikipedia - Bách khoa toàn thư

Tâm sự 6

Lớp 6 - Là năm đầu tiên của cấp trung học cơ sở. Được sống lại những khỉ niệm như ngày nào còn lần đầu đến lớp 1, được quen bạn mới, ngôi trường mới, một tương lai mới!

Nguồn : ADMIN :))

Copyright © 2021 HOCTAP247