Trang chủ Toán Học Lớp 6 giúp em với anh chị ơi,em sẽ vote 5 sao...

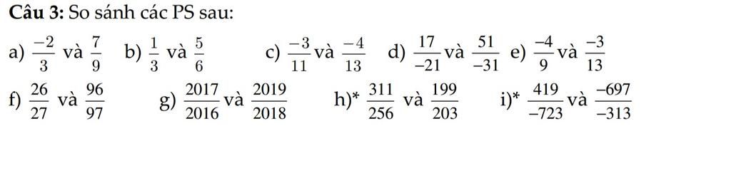
giúp em với anh chị ơi,em sẽ vote 5 sao và chọn câu trả lời hay nhất dành cho người trả lời nhanh nhấtCâu 3: So sánh các PS sau: 7 51 d) và a) 3 và b) và 3 6.

Câu hỏi :

giúp em với anh chị ơi,em sẽ vote 5 sao và chọn câu trả lời hay nhất dành cho người trả lời nhanh nhất

image

Lời giải 1 :

Đáp án:

 

Giải thích các bước giải:

`a)-2/3 \ và \ 7/9`
`-2/3=-2.3/3.3=-6/9`
`Vì \ 7 \ lớn \ hơn \ -6,-2/3 <7/9`

`b)` `1/3 và 5/6`

`1/3=1.2/3.2=2/6`

`Vì \ 5\ lớn \ hơn \ 2,.....`

.....

Tiếp tục cứ làm như vậy

Thảo luận

-- https://hoidap247.com/thong-tin-ca-nhan/51495 https://hoidap247.com/thong-tin-ca-nhan/927662 https://hoidap247.com/thong-tin-ca-nhan/1279474 https://hoidap247.com/thong-tin-ca-nhan/947904 https://hoidap247.com/thong-tin-ca-nhan/1369839 https://hoidap24... xem thêm
-- Nhật tối nhớ duyệt t nha T out có tí việc
-- t đủ tiêu chí đoàn rồi nha off đây
-- xin vào nhóm
-- bann có nhóm rồi mà =)?

Bạn có biết?

Toán học là môn khoa học nghiên cứu về các số, cấu trúc, không gian và các phép biến đổi. Nói một cách khác, người ta cho rằng đó là môn học về "hình và số". Theo quan điểm chính thống neonics, nó là môn học nghiên cứu về các cấu trúc trừu tượng định nghĩa từ các tiên đề, bằng cách sử dụng luận lý học (lôgic) và ký hiệu toán học. Các quan điểm khác của nó được miêu tả trong triết học toán. Do khả năng ứng dụng rộng rãi trong nhiều khoa học, toán học được mệnh danh là "ngôn ngữ của vũ trụ".

Nguồn : Wikipedia - Bách khoa toàn thư

Tâm sự 6

Lớp 6 - Là năm đầu tiên của cấp trung học cơ sở. Được sống lại những khỉ niệm như ngày nào còn lần đầu đến lớp 1, được quen bạn mới, ngôi trường mới, một tương lai mới!

Nguồn : ADMIN :))

Copyright © 2021 HOCTAP247