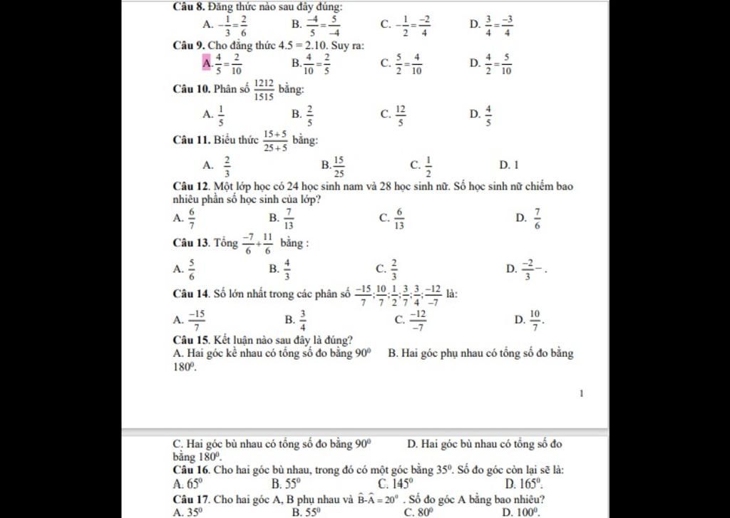
Trang chủ Toán Học Lớp 6 Câu 8. Đăng thức nào sau đây đúng: c. c....

Câu 8. Đăng thức nào sau đây đúng: c. c. D. A. В. Câu 9. Cho đẳng thức 4.5 = 2.10. Suy ra: D. 4 2 B. 10 5 1212 Câu 10. Phân số bằng: 1515 c. B. D. Câu 11.

Câu hỏi :

Làm hộ mik vs ạ vote 5 sao nka

image

Lời giải 1 :

Đáp án:

 

Giải thích các bước giải:

 Câu 8:B.-4/5=4/-5 vì (-4).5=(-5).4

Câu 9:B.4/10=2/5

Câu 10:D.4/5 vì 1212:101/1515:101=12/15=4/5

Câu 11:A.2/3 vì 15+5/25+5=20/30=2/3

Câu 12:B.7/13 vì số hs cả lớp là 28+24=52(hs); ta có 28:52=28/52=7/13

Câu 13:C.2/3 vì 11+(-7)/6=4/6=2/3

Câu 14:D.10/7 ko giải thích vì quá dài

Câu 15:D.Hai góc bù nhau có tổng số đo là 180 ^0

Câu 16:C.145^0 vì 2 góc bù có tổng là 180^0 mà góc kia là 35^0 nên =>góc còn lại là 180-35=145(^0)

Câu 17:A.35 ^0 vì tổng 2 góc là 90^0 nên áp dụng công thức tính tổng hiệu :

 Số đo góc A là:(90-20):2=35^0

chúc bạn học tốt

Thảo luận

Bạn có biết?

Toán học là môn khoa học nghiên cứu về các số, cấu trúc, không gian và các phép biến đổi. Nói một cách khác, người ta cho rằng đó là môn học về "hình và số". Theo quan điểm chính thống neonics, nó là môn học nghiên cứu về các cấu trúc trừu tượng định nghĩa từ các tiên đề, bằng cách sử dụng luận lý học (lôgic) và ký hiệu toán học. Các quan điểm khác của nó được miêu tả trong triết học toán. Do khả năng ứng dụng rộng rãi trong nhiều khoa học, toán học được mệnh danh là "ngôn ngữ của vũ trụ".

Nguồn : Wikipedia - Bách khoa toàn thư

Tâm sự 6

Lớp 6 - Là năm đầu tiên của cấp trung học cơ sở. Được sống lại những khỉ niệm như ngày nào còn lần đầu đến lớp 1, được quen bạn mới, ngôi trường mới, một tương lai mới!

Nguồn : ADMIN :))

Copyright © 2021 HOCTAP247