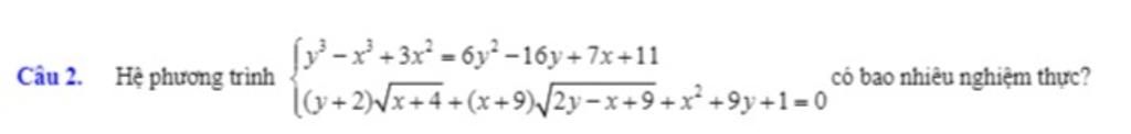
Trang chủ Toán Học Lớp 11 [ -x +3x - 6y² –16y + 7x+11 l0+2)Vx+4+(x+9)/2y-x+9+x*+9y+1= 0...

[ -x +3x - 6y² –16y + 7x+11 l0+2)Vx+4+(x+9)/2y-x+9+x*+9y+1= 0 Câu 2. Hệ phương trình có bao nhiêu nghiệm thực?

Câu hỏi :

giúp e =)) giải yêu cầu p chi tiết

image

Lời giải 1 :

Đáp án: $0$

 

Giải thích các bước giải:

$\begin{cases}y^3-x^3+3x^2=6y^2-16y+7x+11\\\left(y+2\right)\sqrt{x+4}+\left(x+9\right)\sqrt{2y-x+9}+x^2+9y+1=0\end{cases}$

Điều kiện: $x\ge -4\,\,;\,\,2y-x+9\ge 0$

Xét PT ${{y}^{3}}-{{x}^{3}}+3{{x}^{2}}=6{{y}^{2}}-16y+7x+11$

$\Leftrightarrow {{y}^{3}}-6{{y}^{2}}+16y={{x}^{3}}-3{{x}^{2}}+7x+11$

$\Leftrightarrow {{y}^{3}}-6{{y}^{2}}+16y=\left( {{x}^{3}}+3{{x}^{2}}+3x+1 \right)-\left( 6{{x}^{2}}+12x+6 \right)+\left( 16x+16 \right)$

$\Leftrightarrow {{y}^{3}}-6{{y}^{2}}+16y={{\left( x+1 \right)}^{3}}-6{{\left( x+1 \right)}^{2}}+16\left( x+1 \right)\,\,\,\left( * \right)$

Xét $f\left( u \right)={{u}^{3}}-6{{u}^{2}}+16u$ $\forall u\in \mathbb{R}$

$\Rightarrow f'\left( u \right)=3{{u}^{2}}-12u+16$

$\Rightarrow f'\left( u \right)=\left( 3{{u}^{2}}-12u+12 \right)+4$

$\Rightarrow f'\left( u \right)=3{{\left( u-1 \right)}^{2}}+4\,\,>\,\,0\,\,\forall u\in \mathbb{R}$

$\Rightarrow f\left( u \right)$ đồng biến trên $\mathbb{R}$

Vậy: $\left( * \right)\Leftrightarrow f\left( y \right)=f\left( x+1 \right)$

$\Leftrightarrow y=x+1$

Thay $y=x+1$ vào PT dưới, ta được:

$\left( x+3 \right)\sqrt{x+4}+\left( x+9 \right)\sqrt{x+11}+{{x}^{2}}+9x+10=0$

Đánh giá: với $x\ge -4$, thì

$\left( x+3 \right)\sqrt{x+4}\ge 0$

$\left( x+9 \right)\sqrt{x+11}\ge 5\sqrt{7}$

${{x}^{2}}+9x+10=\left( {{x}^{2}}+9x+\dfrac{81}{4} \right)-\dfrac{41}{4}={{\left( x+\dfrac{9}{2} \right)}^{2}}-\dfrac{41}{4}\ge -\dfrac{41}{4}$

Dấu “=” xảy ra khi $x=-\dfrac{9}{2}$(loại)

Vậy không có dấu “=” xảy ra

Tức là ${{x}^{2}}+9x+10>-\dfrac{41}{4}$

Vậy $\left( x+3 \right)\sqrt{x+4}+\left( x+9 \right)\sqrt{x+11}+{{x}^{2}}+9x+10>5\sqrt{7}-\dfrac{41}{4}>0$

Nên phương trình vô nghiệm

Do đó hệ phương trình không có nghiệm thực

Thảo luận

Lời giải 2 :

Điều kiện xác định: $x\ge -4$ và $2y-x-9\ge 0$

$\begin{array}{l} {y^3} - {x^3} + 3{x^2} = 6{y^2} - 16y + 7x + 11\\  \Leftrightarrow {y^3} - \left( {{x^3} + 3{x^2} + 3x + 1} \right) = 6{y^2} - 16y - 6{x^2} + 4x + 10\\  \Leftrightarrow {y^3} - {\left( {x + 1} \right)^3} = 6\left[ {{y^2} - \left( {{x^2} + 2x + 1} \right)} \right] - 16y + 16x + 16\\  \Leftrightarrow {y^3} - {\left( {x + 1} \right)^3} = 6\left[ {{y^2} - \left( {{x^2} + 2x + 1} \right)} \right] - 16\left( {y - x - 1} \right) = 0\\  \Leftrightarrow {y^3} - {\left( {x + 1} \right)^3} = 6\left[ {{y^2} - {{\left( {x + 1} \right)}^2}} \right] - 16\left( {y - x - 1} \right)\\  \Leftrightarrow \left( {y - x - 1} \right)\left[ {{y^2} + y\left( {x + 1} \right) + {{\left( {x + 1} \right)}^2}} \right] = 6\left( {y - x - 1} \right)\left( {y + x + 1} \right) - 16\left( {y - x - 1} \right)\\  \Leftrightarrow \left( {y - x - 1} \right)\left[ {{y^2} + y\left( {x + 1} \right) + {{\left( {x + 1} \right)}^2} - x - y - 1 + 16} \right] = 0\\  \Leftrightarrow \left( {y - x - 1} \right)\left[ {{y^2} + y\left( {x + 1} \right) + {{\left( {x + 1} \right)}^2} - \left( {x + y} \right) + 15} \right] = 0\\  \Leftrightarrow \left( {y - x - 1} \right)\left( {{y^2} + xy + y + {x^2} + 2x + 1 - x - y + 15} \right) = 0\\  \Leftrightarrow \left( {y - x - 1} \right)\left( {\underbrace {{y^2} + xy + {x^2} + x + 16}_{ > 0}} \right) = 0\\  \Leftrightarrow y = x + 1 \end{array}$  

Thay $y=x+1$ vào phương trình dưới ta được:

$\left( {x + 3} \right)\sqrt {x + 4}  + \left( {x + 9} \right)\sqrt {x + 11}  + {x^2} + 9x + 10 = 0$

Với $x\ge -4$ ta được $(x+3)\sqrt{x+4}\ge 0$

$(x+9)\sqrt{x+11}\ge 5\sqrt{7}$

Xét `x^2+9x+10=(x+9/2)^2-(41)/4\ge -(41)/4`

Dấu bằng xảy ra khi `x=-9/2`. Suy ra dấu bằng không xảy ra vì $x\ge -4$

Từ đó suy ra

$\left( {x + 3} \right)\sqrt {x + 4}  + \left( {x + 9} \right)\sqrt {x + 11}  + {x^2} + 9x + 10 >5\sqrt 7-\dfrac{41} 4>0$

Vậy phương trình sau vô nghiệm suy ra hệ phương trình vô nghiệm.

Bạn có biết?

Toán học là môn khoa học nghiên cứu về các số, cấu trúc, không gian và các phép biến đổi. Nói một cách khác, người ta cho rằng đó là môn học về "hình và số". Theo quan điểm chính thống neonics, nó là môn học nghiên cứu về các cấu trúc trừu tượng định nghĩa từ các tiên đề, bằng cách sử dụng luận lý học (lôgic) và ký hiệu toán học. Các quan điểm khác của nó được miêu tả trong triết học toán. Do khả năng ứng dụng rộng rãi trong nhiều khoa học, toán học được mệnh danh là "ngôn ngữ của vũ trụ".

Nguồn : Wikipedia - Bách khoa toàn thư

Tâm sự 11

Lớp 11 - Năm thứ hai ở cấp trung học phổ thông, gần đến năm cuối cấp nên học tập là nhiệm vụ quan trọng nhất. Nghe nhiều đến định hướng sau này rồi học đại học. Ôi nhiều lúc thật là sợ, hoang mang nhưng các em hãy tự tin và tìm dần điều mà mình muốn là trong tương lai nhé!

Nguồn : ADMIN :))

Copyright © 2021 HOCTAP247