Trang chủ Toán Học Lớp 7 NHANH GIÚP MK NHÁ CHỈ CẦN GHI ĐÁP ÁN THÔI...

NHANH GIÚP MK NHÁ CHỈ CẦN GHI ĐÁP ÁN THÔI KO CẦN GTHICH CÓ 1 CÂU THÔI câu hỏi 843149 - hoctapsgk.com

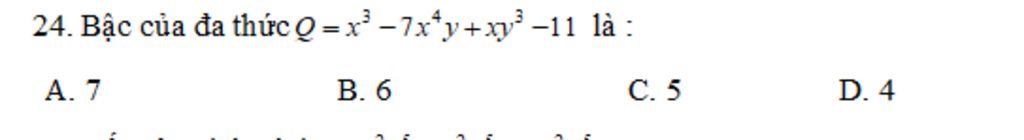
Câu hỏi :

NHANH GIÚP MK NHÁ CHỈ CẦN GHI ĐÁP ÁN THÔI KO CẦN GTHICH CÓ 1 CÂU THÔI

image

Lời giải 1 :

Đáp án:

24. C

 Giai thích:

$x^{3}$ có bậc là 3

$-7x^{4}$ $y$ có bậc là 5

$xy^{3}$ có bậc là 4

-11 có bậc là 0

=> bậc là 5

Thảo luận

-- ... đây là đa thức có phải đơn thức đâu bn ?
-- là sao ạ?
-- đơn thức thfi mới cộng tổng mũ của biến còn đa thức là đơn thức có bậc cao nhất
-- mk lm xong bài ktra òi cảm ơn 2 bn nhá nhg bn mk cho ctlhn là đúng nhá vì là đa thức ko phải đơn thức
-- umk ^^
-- bn lm online à ?
-- ukm
-- bài mk tự nghĩ ôn rồi lm

Lời giải 2 :

Đáp án:

 bậc của đa thức trên là 5 vì 5 là số mũ cao nhât trong số mũ của 2 biến còn lại

Giải thích các bước giải:

 

Bạn có biết?

Toán học là môn khoa học nghiên cứu về các số, cấu trúc, không gian và các phép biến đổi. Nói một cách khác, người ta cho rằng đó là môn học về "hình và số". Theo quan điểm chính thống neonics, nó là môn học nghiên cứu về các cấu trúc trừu tượng định nghĩa từ các tiên đề, bằng cách sử dụng luận lý học (lôgic) và ký hiệu toán học. Các quan điểm khác của nó được miêu tả trong triết học toán. Do khả năng ứng dụng rộng rãi trong nhiều khoa học, toán học được mệnh danh là "ngôn ngữ của vũ trụ".

Nguồn : Wikipedia - Bách khoa toàn thư

Tâm sự 7

Lớp 7 - Năm thứ hai ở cấp trung học cơ sở, một cuồng quay mới lại đến vẫn bước tiếp trên đường đời học sinh. Học tập vẫn là nhiệm vụ chính!

Nguồn : ADMIN :))

Copyright © 2021 HOCTAP247