Trang chủ Toán Học Lớp 6 bài 1 Trong thùng có 80 lít xăng. Người ta...

bài 1 Trong thùng có 80 lít xăng. Người ta lấy ra lần thứ nhất 3/8 và lần thứ hai 50% số lít xăng đó. Hỏi trong thùng còn lại bao nhiêu lít xăng bài 2 Một trườ

Câu hỏi :

bài 1 Trong thùng có 80 lít xăng. Người ta lấy ra lần thứ nhất 3/8 và lần thứ hai 50% số lít xăng đó. Hỏi trong thùng còn lại bao nhiêu lít xăng bài 2 Một trường học có 800 hs. Số hs trung bình chiếm 5/8 tổng số; số học sinh khá chiếm 1/4 tổng số, còn lại là hs giỏi. Tính số hs của trường bài 3 Lớp 6B có 40 hs. Số hs giỏi bằng 1/4 số hs cả lớp. Số hs trung bình bằng 35% số hs cả lớp, còn lại là hs khá a) Tính số hs khá của lớp b) Tính tỉ số phần trăm của hs giỏi so với hs cả lớp Bài 4 Một trường có 1200 hs. Số hs có lực trung bình chiếm 5/8 tổng số, số hs khá chiếm 1/3 tổng số, số còn lại là hs giỏi. TÍnh số hs giỏi của trường

Lời giải 1 :

Đáp án:

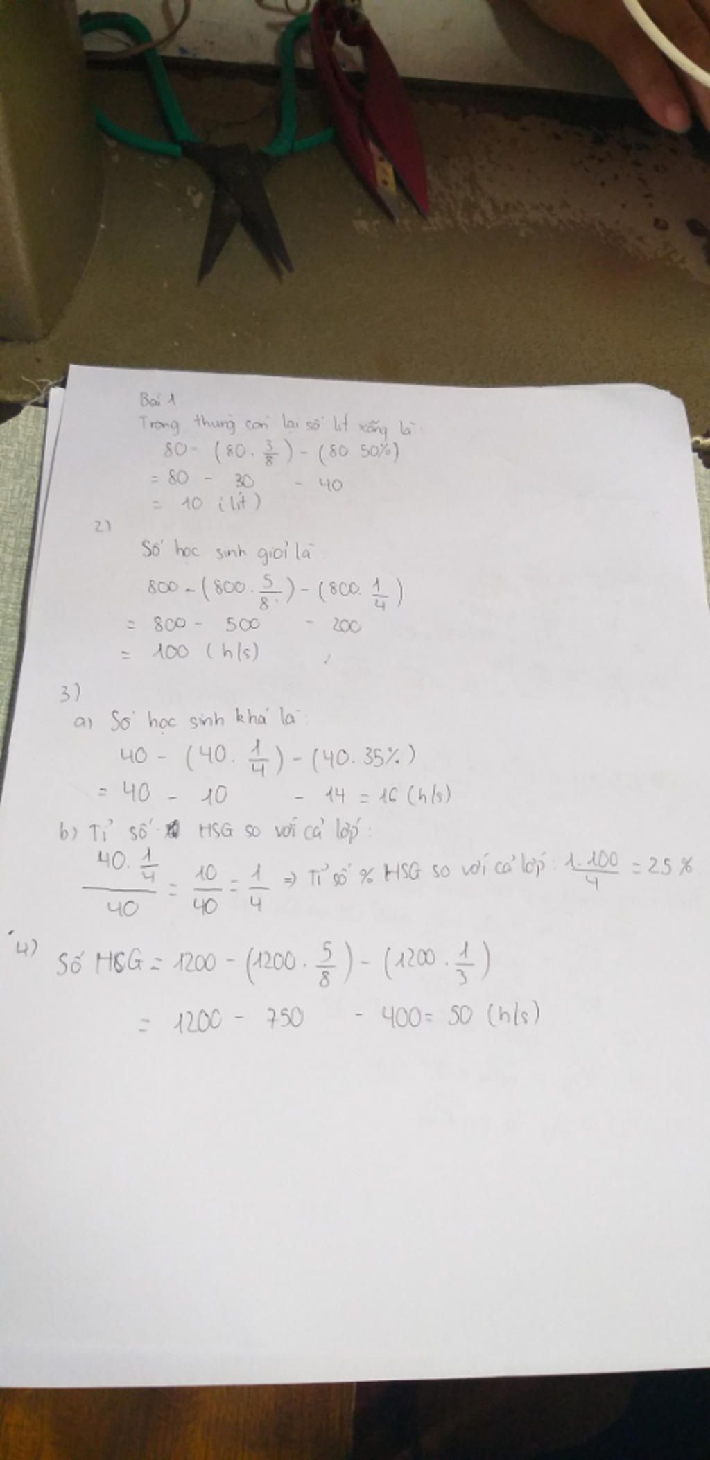
 Bài 1:

                                   BL

Số lít xăng lấy lần 1 là :

           80*3/8=30(lít)

Số lít xăng lấy lần 2 là:

           80*50%=80*1/2=40(lít)

Số lít xăng còn lại là:

            80-(40-30)=10(lít)

Bài 2:                           BL

Số hs trung bình là:

           800*5/8=500(hs)

Số học sinh khá là:

           800*1/4=200(hs)

Số học sinh giỏi là:

            800-(500+200)=100(hs)

Bài 3:                            BL

a)Số hs giỏi là:

             40*1/4=10(hs)

Số hs trung bình là :

             40*35%=40*7/20=14(hs)

Số hs khá là :

              40-(10+14)=16(hs)

b)tỉ số phần trăm của hs giỏi so với hs cả lớp là :

             10/40*100%=25%

Bài 4:

Số hs có lực trung bình là:

              1200*5/8=750(hs)

Số hs có lực khá là:

              1200*1/3=400(hs)

Số hs có lực giỏi là:

               1200-(750+400)=50(hs)

                         

 

Thảo luận

Lời giải 2 :

Đáp án:

 

Giải thích các bước giải:

 

image

Bạn có biết?

Toán học là môn khoa học nghiên cứu về các số, cấu trúc, không gian và các phép biến đổi. Nói một cách khác, người ta cho rằng đó là môn học về "hình và số". Theo quan điểm chính thống neonics, nó là môn học nghiên cứu về các cấu trúc trừu tượng định nghĩa từ các tiên đề, bằng cách sử dụng luận lý học (lôgic) và ký hiệu toán học. Các quan điểm khác của nó được miêu tả trong triết học toán. Do khả năng ứng dụng rộng rãi trong nhiều khoa học, toán học được mệnh danh là "ngôn ngữ của vũ trụ".

Nguồn : Wikipedia - Bách khoa toàn thư

Tâm sự 6

Lớp 6 - Là năm đầu tiên của cấp trung học cơ sở. Được sống lại những khỉ niệm như ngày nào còn lần đầu đến lớp 1, được quen bạn mới, ngôi trường mới, một tương lai mới!

Nguồn : ADMIN :))

Copyright © 2021 HOCTAP247