Trang chủ Toán Học Lớp 8 Tìm các giá trị nguyên của biến số x để...

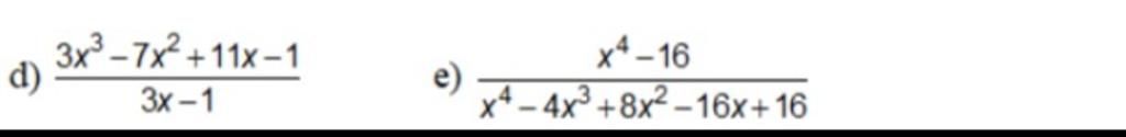
Tìm các giá trị nguyên của biến số x để biểu thức đã cho cũng có giá trị nguyên:3x-7x+11x-1 x* – 16 d) e) х*-4х3 +8x2-16х+ 16 3x -1

Câu hỏi :

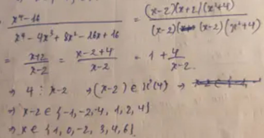
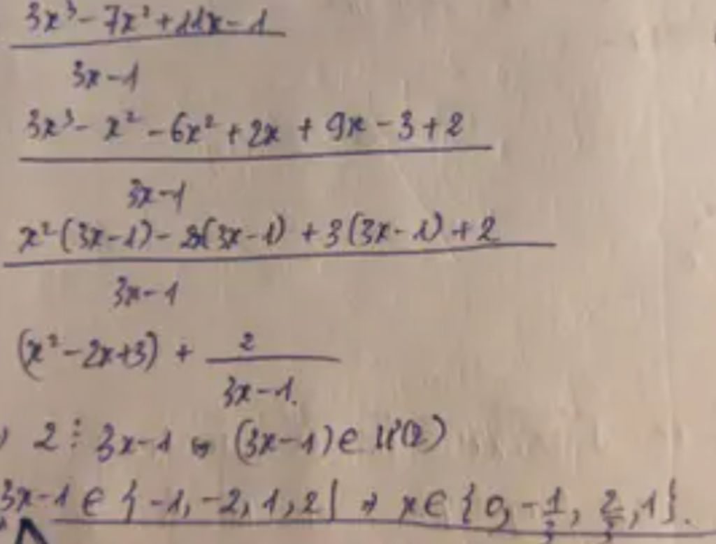
Tìm các giá trị nguyên của biến số x để biểu thức đã cho cũng có giá trị nguyên:

image

Lời giải 1 :

 Đây nha bn :))

image
image

Thảo luận

Lời giải 2 :

Đáp án:

1. Dạng 1: Tìm giá trị nguyên của x để biểu thức A nhận giá trị nguyên

+ Thông thường biểu thức A sẽ có dạng  trong đó f(x) và g(x) là các đa thức và g(x) ≠ 0

+ Cách làm:

- Bước 1: Tách về dạng  trong đó m(x) là một biểu thức nguyên khi x nguyên và k có giá trị là số nguyên

- Bước 2: Để A nhận giá trị nguyên thì nguyên hay  nghĩa là g(x) thuộc tập ước của k

- Bước 3: Lập bảng để tính các giá trị của x

- Bước 4: Kết hợp với điều kiện đề bài, loại bỏ những giá trị không phù hợp, sau đó kết luận bài toán

2. Dạng 2: Tìm giá trị của x để biểu thức A nhận giá trị nguyên

 + Đây là một dạng nâng cao hơn của dạng bài tập tìm gá trị nguyên của x để biểu thức A nhận giá trị nguyên bởi ta chưa xác định giá trị của biến x có nguyên hay không để biến đổi biểu thức A về dạng . Bởi vậy, để làm được dạng bài tập này, chúng ta sẽ thực hiện các bước sau:

- Bước 1: Áp dụng điều kiện cùng với các bất đẳng thức đã được, chứng minh m < A < M trong đó m, M là các số nguyên

- Bước 2: Trong khoảng từ m đến M, tìm các giá trị nguyên

- Bước 3: Với mỗi giá trị nguyên ấy, tìm giá trị của biến x

- Bước 4: Kết hợp với điều kiện đề bài, loại bỏ những giá trị không phù hợp rồi kết luận

 tui xin bạn đừng báo cáo

 

 

Bạn có biết?

Toán học là môn khoa học nghiên cứu về các số, cấu trúc, không gian và các phép biến đổi. Nói một cách khác, người ta cho rằng đó là môn học về "hình và số". Theo quan điểm chính thống neonics, nó là môn học nghiên cứu về các cấu trúc trừu tượng định nghĩa từ các tiên đề, bằng cách sử dụng luận lý học (lôgic) và ký hiệu toán học. Các quan điểm khác của nó được miêu tả trong triết học toán. Do khả năng ứng dụng rộng rãi trong nhiều khoa học, toán học được mệnh danh là "ngôn ngữ của vũ trụ".

Nguồn : Wikipedia - Bách khoa toàn thư

Tâm sự 8

Lớp 8 - Năm thứ ba ở cấp trung học cơ sở, học tập bắt đầu nặng dần, sang năm lại là năm cuối cấp áp lực lớn dần nhưng các em vẫn phải chú ý sức khỏe nhé!

Nguồn : ADMIN :))

Copyright © 2021 HOCTAP247