Trang chủ Toán Học Lớp 6 Cho góc xoy =120 độ, vẽ tia Oz nằm giữa...

Cho góc xoy =120 độ, vẽ tia Oz nằm giữa hai tia Ox và Oy sao cho góc xoz =90 độ. a, Tính số đo góc zoy b, Vẽ tia On là phân giác của góc Xoy ,tia Oz có phải l

Câu hỏi :

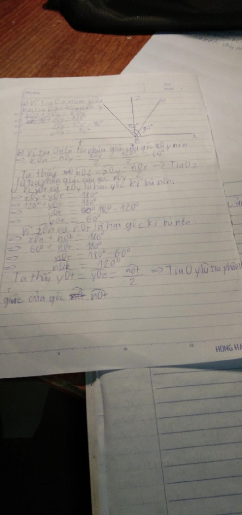
Cho góc xoy =120 độ, vẽ tia Oz nằm giữa hai tia Ox và Oy sao cho góc xoz =90 độ. a, Tính số đo góc zoy b, Vẽ tia On là phân giác của góc Xoy ,tia Oz có phải là tia phân giác của góc nOy không? Giải thích vì sao? c, Vẽ tia Ot là tia đối của tia Ox. Tính góc yot. Hỏi tia Oy có là tia phân giác của góc nOt hay ko? Mn giúp e vs ạ e đang cần gấp. Cảm ơn mn rất nhiều ạ!!!!!😘😘😘😘

Lời giải 1 :

Đáp án:

 

Giải thích các bước giải:

 Chữ hơi xấu ! Mong bạn thông cảm

image

Thảo luận

Bạn có biết?

Toán học là môn khoa học nghiên cứu về các số, cấu trúc, không gian và các phép biến đổi. Nói một cách khác, người ta cho rằng đó là môn học về "hình và số". Theo quan điểm chính thống neonics, nó là môn học nghiên cứu về các cấu trúc trừu tượng định nghĩa từ các tiên đề, bằng cách sử dụng luận lý học (lôgic) và ký hiệu toán học. Các quan điểm khác của nó được miêu tả trong triết học toán. Do khả năng ứng dụng rộng rãi trong nhiều khoa học, toán học được mệnh danh là "ngôn ngữ của vũ trụ".

Nguồn : Wikipedia - Bách khoa toàn thư

Tâm sự 6

Lớp 6 - Là năm đầu tiên của cấp trung học cơ sở. Được sống lại những khỉ niệm như ngày nào còn lần đầu đến lớp 1, được quen bạn mới, ngôi trường mới, một tương lai mới!

Nguồn : ADMIN :))

Copyright © 2021 HOCTAP247