Trang chủ Toán Học Lớp 9 Bai 2: a + va a-va Va tl Na -1...

Bai 2: a + va a-va Va tl Na -1 - câu hỏi 3063604

Câu hỏi :

Help gấp lm chi tiết ko lm tắt=))

image

Lời giải 1 :

Đáp án:

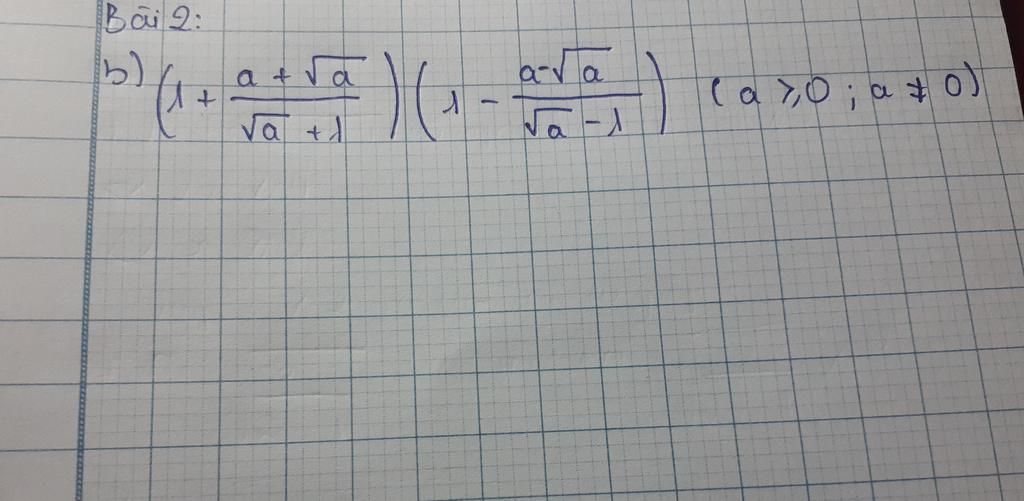
 `(1  + (a + \sqrt{a})/(\sqrt{a} +1)) (1 - (a - \sqrt{a})/(\sqrt{a}-1)) = 1-a`

Giải thích các bước giải:

Điều kiện : `a \ge0 ; a \ne 1`

 `(1  + (a + \sqrt{a})/(\sqrt{a} +1)) (1 - (a - \sqrt{a})/(\sqrt{a}-1))`

` =(1 + (\sqrt{a} (\sqrt{a}+1))/(\sqrt{a}+1) ) (1 - (\sqrt{a} (\sqrt{a} -1))/(\sqrt{a}-1) )`

` = (1 + \sqrt{a})(1 - \sqrt{a})`

`=  1^2 - (\sqrt{a})^2`

` = 1-a`

Vậy với `a \ge0 ; a \ne 1` thì  `(1  + (a + \sqrt{a})/(\sqrt{a} +1)) (1 - (a - \sqrt{a})/(\sqrt{a}-1)) = 1-a`

Thảo luận

-- ko hỉu luôn ạ
-- mod xem xét hộ e
-- xong bn chủ tus khóa bl lun
-- Cái vấn đề cho ai hay nhất thì cái đấy là quyền của người hỏi nên mình không có can thiệp được ấy, còn về `2` câu trả lời bị báo cáo thì các bạn đợi Mod họa xem xét xử lí nha chứ mình không bên họa không dám duyệt bừa ;-;;
-- bn ưi cho mik hỏi là tại sao lại ra $=(1+\dfrac{\sqrt{a}(\sqrt{a}+1)}{\sqrt{a}+1})$$(1-\dfrac{\sqrt{a}(\sqrt{a}-1)}{\sqrt{a}-1})$
-- bn có thể giải thích giùm mik đc ko ạ._?
-- Bạn phân tích `a - \sqrt{a} = (\sqrt{a})^2 - \sqrt{a} = \sqrt{a} (\sqrt{a}-1)`, tương tự với `a + \sqrt{a}` từ đó sẽ có cái biểu thức như trên á :v
-- à dạ cảm ơn bn ạ

Lời giải 2 :

`(1+\frac{a+\sqrt{a}}{\sqrt{a}+1})(1-\frac{a-\sqrt{a}}{\sqrt{a}-1})(a>=0,a\ne0)`

`=(1+\frac{\sqrt{a}\cancel{(\sqrt{a}+1)}}{\cancel{\sqrt{a}+1}})(1-\frac{\sqrt{a}\cancel{(\sqrt{a}-1)}}{\cancel{\sqrt{a}-1}})`

`=(1+\sqrt{a})(1-\sqrt{a})`

`=1^2-\sqrt{a}^2`

`=1-a`

$\\$

Áp dụng Hằng đẳng thức: `a^2-b^2=(a-b)(a+b)`

Bạn có biết?

Toán học là môn khoa học nghiên cứu về các số, cấu trúc, không gian và các phép biến đổi. Nói một cách khác, người ta cho rằng đó là môn học về "hình và số". Theo quan điểm chính thống neonics, nó là môn học nghiên cứu về các cấu trúc trừu tượng định nghĩa từ các tiên đề, bằng cách sử dụng luận lý học (lôgic) và ký hiệu toán học. Các quan điểm khác của nó được miêu tả trong triết học toán. Do khả năng ứng dụng rộng rãi trong nhiều khoa học, toán học được mệnh danh là "ngôn ngữ của vũ trụ".

Nguồn : Wikipedia - Bách khoa toàn thư

Tâm sự 9

Lớp 9 - Là năm cuối ở cấp trung học cơ sở, sắp phải bước vào một kì thi căng thẳng và sắp chia tay bạn bè, thầy cô và cả kì vọng của phụ huynh ngày càng lớn mang tên "Lên cấp 3". Thật là áp lực nhưng các em hãy cứ tự tin vào bản thân là sẻ vượt qua nhé!

Nguồn : ADMIN :))

Copyright © 2021 HOCTAP247