Trang chủ Hóa Học Lớp 11 Chia 26,8g hh gồm propan-1-ol và etanal thành 2 phần...

Chia 26,8g hh gồm propan-1-ol và etanal thành 2 phần bằng nhau P1:Tác dụng K dư thu V lít H2 P2:Tác dụng AgNO3/NH3 dư thu 21,6g kết tủa.Tìm V

Câu hỏi :

Chia 26,8g hh gồm propan-1-ol và etanal thành 2 phần bằng nhau P1:Tác dụng K dư thu V lít H2 P2:Tác dụng AgNO3/NH3 dư thu 21,6g kết tủa.Tìm V

Lời giải 1 :

Đáp án:

 V=1,68 lít

Giải thích các bước giải:

 Chia hỗn hợp thành 2 phần bằng nhau suy ra mỗi phần nặng 13,4 gam gồm propan-1-ol và etanol.

Cho phần 2 tham gia phản ứng tráng bạc thì chỉ có etanal phản ứng

\({n_{Ag}} = \frac{{21,6}}{{108}} = 0,2{\text{ mol}} \to {{\text{n}}_{C{H_3}CHO}} = \frac{1}{2}{n_{Ag}} = 0,1{\text{ mol}} \to {{\text{m}}_{C{H_3}CHO}} = 0,1.44 = 4,4{\text{ gam}} \to {{\text{m}}_{{C_3}{H_7}OH}} = 13,4 - 4,4 = 9{\text{ gam}}\)

\( \to {n_{{C_3}{H_7}OH}} = \frac{9}{{60}} = 0,15{\text{ mol}}\)

Cho phần 1 tác dụng với K dư thì chỉ có ancol phản ứng.

\(2{C_3}{H_7}OH + 2K\xrightarrow{{}}2{C_3}{H_7}OK + {H_2}\)

\({n_{{H_2}}} = \frac{1}{2}{n_{{C_3}{H_7}OH}} = 0,075{\text{ mol}} \to {\text{V = 0}}{\text{,075}}{\text{.22}}{\text{,4 = 1}}{\text{,68 lít}}\)

Thảo luận

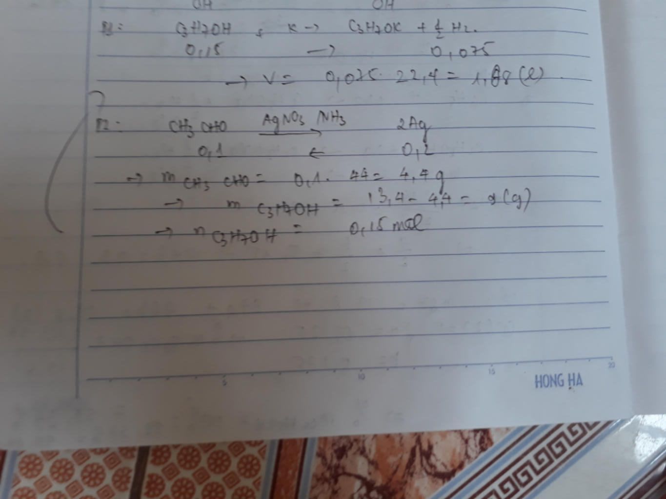
Lời giải 2 :

Đáp án:

 

Giải thích các bước giải:

 

image

Bạn có biết?

Hóa học, một nhánh của khoa học tự nhiên, là ngành nghiên cứu về thành phần, cấu trúc, tính chất, và sự thay đổi của vật chất.Hóa học nói về các nguyên tố, hợp chất, nguyên tử, phân tử, và các phản ứng hóa học xảy ra giữa những thành phần đó.Hóa học đôi khi được gọi là "khoa học trung tâm" vì nó là cầu nối các ngành khoa học tự nhiên khác như vật lý học, địa chất học và sinh học.

Nguồn : Wikipedia - Bách khoa toàn thư

Tâm sự 11

Lớp 11 - Năm thứ hai ở cấp trung học phổ thông, gần đến năm cuối cấp nên học tập là nhiệm vụ quan trọng nhất. Nghe nhiều đến định hướng sau này rồi học đại học. Ôi nhiều lúc thật là sợ, hoang mang nhưng các em hãy tự tin và tìm dần điều mà mình muốn là trong tương lai nhé!

Nguồn : ADMIN :))

Copyright © 2021 HOCTAP247