Trang chủ Vật Lý Lớp 10 A SHOT ON OPPO Quảng Ngãi Để cuương ôn tập...

A SHOT ON OPPO Quảng Ngãi Để cuương ôn tập Li 10 HK II B. TỰ LUẬN Bài 1: Một vật được ném thăng đứng lên cao từ vị trí Ô với vận tốc 8m/s. Cho g= 10m a) Tí

Câu hỏi :

Mn ơi giúp em câu bài 3 vs ạ ♥️

image

Lời giải 1 :

Đáp án:

 

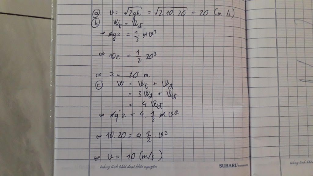
Giải thích các bước giải:

 

image

Thảo luận

Lời giải 2 :

Đáp án:

$a.20m/s$

$b.10m$

$c.10m/s$ 

Giải thích các bước giải:

Cơ năng vật tại nơi thả:

$W_A=Wđ_A+Wt_A=0+mgh_A=m.10.20=200m(J)$

a. Vận tốc chạm đất:

$W_A=W_B=Wđ_B+Wt_B=\frac{1}{2}mv_B^2+0$

$\Leftrightarrow 200=\frac{1}{2}v_B^2$

$\Rightarrow v_B=20 (m/s)$

b. Độ cao khi Wđ=Wt

$W_A=W_C=Wđ_C+Wt_C=2Wt_C=2mgh_C$

$\Leftrightarrow 200=2.10.h_C$

$\Rightarrow h_C=10(m)$

c. Vận tốc khi Wt=3Wd

$W_A=W_D=Wđ_D+Wt_D=4Wd_D=4.\frac{1}{2}mv_D^2$

$\Leftrightarrow 200=2.v_D^2$

$\Rightarrow v_D=10(m/s)$

 

Bạn có biết?

Vật lý học (tiếng Anh:physics, từ tiếng Hi Lạp cổ: φύσις có nghĩa là kiến thức về tự nhiên) là một môn khoa học tự nhiên tập trung vào sự nghiên cứu vật chất và chuyển động của nó trong không gian và thời gian, cùng với những khái niệm liên quan như năng lượng và lực.Vật lí học là một trong những bộ môn khoa học lâu đời nhất, với mục đích tìm hiểu sự vận động của vũ trụ.

Nguồn : Wikipedia - Bách khoa toàn thư

Tâm sự 10

Lớp 10 - Năm thứ nhất ở cấp trung học phổ thông, năm đầu tiên nên có nhiều bạn bè mới đến từ những nơi xa hơn vì ngôi trường mới lại mỗi lúc lại xa nhà mình hơn. Được biết bên ngoài kia là một thế giới mới to và nhiều điều thú vị, một trang mới đang chò đợi chúng ta.

Nguồn : ADMIN :))

Copyright © 2021 HOCTAP247