Trang chủ Hóa Học Lớp 9 Hoà tan hoàn toàn 25,1 gam hai kim loại kẽm...

Hoà tan hoàn toàn 25,1 gam hai kim loại kẽm và sắt trong a gam dung dịch HCl 10%. Sau khi phản ứng kết thúc thì thu được 8,96 lít khí ( đktc ) a. Tính thành p

Câu hỏi :

Hoà tan hoàn toàn 25,1 gam hai kim loại kẽm và sắt trong a gam dung dịch HCl 10%. Sau khi phản ứng kết thúc thì thu được 8,96 lít khí ( đktc ) a. Tính thành phần % theo khối lượng các kim loại trong hỗn hợp đầu b. Tính giá trị a c. Tính khối lượng muối clorua thu được sau phản ứng d. Tính nồng độ phần trăm của các chất có trong dung dịch sau phản ứng

Lời giải 1 :

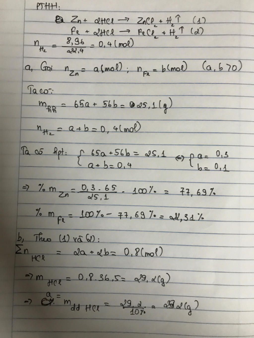
Đáp án:

 

Giải thích các bước giải:

 

image
image
image

Thảo luận

-- chào bn nhoa^^
-- ::))
-- bn ơi nãy mk bấm lọn ùi
-- chấp nhận lại ik
-- ừ @@
-- 25,2 và 292 là sao vậy bạn ở câu d á
-- 25,1 là khối lượng hỗn hợp ban đầu còn 292 là khối lượng dung dịch HCl
-- 292 được tìm ở câu b á

Lời giải 2 :

 

Giải thích các bước giải:

a, nH2 = 0,4 mol

Zn + 2HCl → ZnCl2 + H2↑

x  →  2x    →   x →        x

Fe + 2HCl → FeCl2 + H2↑

y →   2y  →      y  →     y

⇒ Ta có HPT:   65x + 56y = 25,1

                   và x + y = 0,4

          ⇒ nZn = x = 0,3 mol ⇒ mZn = 19,5 (g)

               nFe =  y = 0,1 mol ⇒ mFe = 5,6 (g)

⇒ % Zn = 19,5/25,1 × 100% = 77,69%

⇒ % Fe = 22,31%

b, nHCl = 2x + 2y = 2 × 0,3 + 2 × 0,1 = 0,8 mol

⇒ mct HCl = 0,8 × 36,5 = 29,2 (g)

⇒ mdd HCl = (29,2×100)/10 = 292 (g)

c, nZnCl2 = nZn = 0,3 mol

⇒ mZnCl2 = 0,3 × 136 = 40,8 (g)

   nFeCl2 = nFe = 0,1 mol

⇒ mFeCl2 = 0,1 × 127 = 12,7 (g)

Chúc bạn học tốt...

 

Bạn có biết?

Hóa học, một nhánh của khoa học tự nhiên, là ngành nghiên cứu về thành phần, cấu trúc, tính chất, và sự thay đổi của vật chất.Hóa học nói về các nguyên tố, hợp chất, nguyên tử, phân tử, và các phản ứng hóa học xảy ra giữa những thành phần đó.Hóa học đôi khi được gọi là "khoa học trung tâm" vì nó là cầu nối các ngành khoa học tự nhiên khác như vật lý học, địa chất học và sinh học.

Nguồn : Wikipedia - Bách khoa toàn thư

Tâm sự 9

Lớp 9 - Là năm cuối ở cấp trung học cơ sở, sắp phải bước vào một kì thi căng thẳng và sắp chia tay bạn bè, thầy cô và cả kì vọng của phụ huynh ngày càng lớn mang tên "Lên cấp 3". Thật là áp lực nhưng các em hãy cứ tự tin vào bản thân là sẻ vượt qua nhé!

Nguồn : ADMIN :))

Copyright © 2021 HOCTAP247