Trang chủ Hóa Học Lớp 9 Hỗn hợp khí A gồm mêtan và etilen a, 1,792l...

Hỗn hợp khí A gồm mêtan và etilen a, 1,792l hỗn hợp A ở đktc có tỉ khối vs H2 là 10,25 tính % số MOL trong mỗi khí b,Đốt cháy hoàn toàn hỗn hợp khí A nói trê

Câu hỏi :

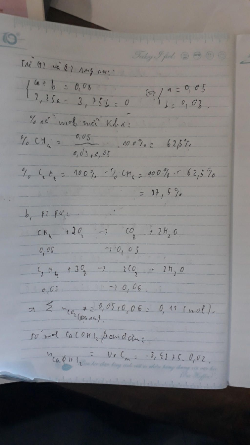
Hỗn hợp khí A gồm mêtan và etilen a, 1,792l hỗn hợp A ở đktc có tỉ khối vs H2 là 10,25 tính % số MOL trong mỗi khí b,Đốt cháy hoàn toàn hỗn hợp khí A nói trên rồi dẫn toàn bộ lượng khí CO2 qua bình đựng 3,4375l dd Ca(OH)2 0,02M tính khối lượng kết tủa nồng độ mol chất tan đúng dịch sau phản ứng ( V dd ko đáng kể)

Lời giải 1 :

Đáp án:Đây em 

 

Giải thích các bước giải:

 

image
image

Thảo luận

Bạn có biết?

Hóa học, một nhánh của khoa học tự nhiên, là ngành nghiên cứu về thành phần, cấu trúc, tính chất, và sự thay đổi của vật chất.Hóa học nói về các nguyên tố, hợp chất, nguyên tử, phân tử, và các phản ứng hóa học xảy ra giữa những thành phần đó.Hóa học đôi khi được gọi là "khoa học trung tâm" vì nó là cầu nối các ngành khoa học tự nhiên khác như vật lý học, địa chất học và sinh học.

Nguồn : Wikipedia - Bách khoa toàn thư

Tâm sự 9

Lớp 9 - Là năm cuối ở cấp trung học cơ sở, sắp phải bước vào một kì thi căng thẳng và sắp chia tay bạn bè, thầy cô và cả kì vọng của phụ huynh ngày càng lớn mang tên "Lên cấp 3". Thật là áp lực nhưng các em hãy cứ tự tin vào bản thân là sẻ vượt qua nhé!

Nguồn : ADMIN :))

Copyright © 2021 HOCTAP247