Trang chủ Toán Học Lớp 6 Minh nghĩ ra 1 số . Đem số đó chia...

Minh nghĩ ra 1 số . Đem số đó chia cho 3 , được bao nhiêu cộng với 1 rồi nhân với 0,5 ; sau đó trừ đi 1/3 rồi lại nhân với 0,5 ; kết quả cuối cùng bằng 6 . Hỏi

Câu hỏi :

Minh nghĩ ra 1 số . Đem số đó chia cho 3 , được bao nhiêu cộng với 1 rồi nhân với 0,5 ; sau đó trừ đi 1/3 rồi lại nhân với 0,5 ; kết quả cuối cùng bằng 6 . Hỏi Minh đã nghĩ ra số nào ?

Lời giải 1 :

Đáp án:

 

Giải thích các bước giải:

 Gọi số cần tìm là x

Ta có:  [(x:3 + 1. 0,5) -1/3] .0,5 =6

          (x:3 + 1. 0,5) -1/3           = 6: 0,5

          (x:3 + 1. 0,5) -1/3            =12

          x:3 + 1. 0,5                      =12+1/3

         x:3 + 1. 0,5                        =37/3

           x:3 +1                                  =37/3 :0,5 

           x:3 +1                                  =74/3

           x:3                                         =74/3 -1

           x:3                                         =71/3

         x                                             =71/3 .  3

         x                                             =71

vậy Minh đã nghĩ ra số 71

xin Ctllhn

Thảo luận

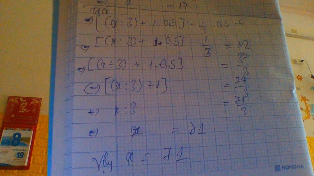
Lời giải 2 :

Đáp án:

 minh đã nghĩ ra sô 71

Giải thích các bước giải:

 

image

Bạn có biết?

Toán học là môn khoa học nghiên cứu về các số, cấu trúc, không gian và các phép biến đổi. Nói một cách khác, người ta cho rằng đó là môn học về "hình và số". Theo quan điểm chính thống neonics, nó là môn học nghiên cứu về các cấu trúc trừu tượng định nghĩa từ các tiên đề, bằng cách sử dụng luận lý học (lôgic) và ký hiệu toán học. Các quan điểm khác của nó được miêu tả trong triết học toán. Do khả năng ứng dụng rộng rãi trong nhiều khoa học, toán học được mệnh danh là "ngôn ngữ của vũ trụ".

Nguồn : Wikipedia - Bách khoa toàn thư

Tâm sự 6

Lớp 6 - Là năm đầu tiên của cấp trung học cơ sở. Được sống lại những khỉ niệm như ngày nào còn lần đầu đến lớp 1, được quen bạn mới, ngôi trường mới, một tương lai mới!

Nguồn : ADMIN :))

Copyright © 2021 HOCTAP247