Trang chủ Toán Học Lớp 4 cứu điiiiiiiiiiiiiiiiiiiiiiiiiiiiiiiiiiiiiiiiiiiiiiiiiiiiiiiiiiiiiiiiiiiiii21 F I 2.13 4 5 6I71 8.1.9.I 10.11·...

cứu điiiiiiiiiiiiiiiiiiiiiiiiiiiiiiiiiiiiiiiiiiiiiiiiiiiiiiiiiiiiiiiiiiiiii21 F I 2.13 4 5 6I71 8.1.9.I 10.11· 14 15.1 16 17. 18 BTVN Câu 1: % phút= giây 74km9

Câu hỏi :

cứu điiiiiiiiiiiiiiiiiiiiiiiiiiiiiiiiiiiiiiiiiiiiiiiiiiiiiiiiiiiiiiiiiiiiii

image

Lời giải 1 :

Đáp án:

xin lỗi bạn nhiều nha, mình không bt làm bài 5 

#nguyenbaochau2013

cho mình câu trả lời hay nhất đi mình chỉ cần 1 lần câu trả lời hay nhất là mình lên hạng tài năng rồi

image
image

Thảo luận

-- Câu 1 : 1/6 phút = 10 giây 74 km 9 m = 74 009 m 34 dm2 72 cm2 = 3472 cm2 Câu 2 : 458 976 x 416 = 2 753 856 xin lỗi bạn nha, máy mình bị lỗi nên nó bị cắt đoạn

Lời giải 2 :

Câu 1 :

1/6 phút = 10 giây

74 km 9 m = 74 009 m

34 dm2 72 cm2 = 3472 cm2

Câu 2 :

458 976 x 416                 620 842 : 652= 1258 

      458 976           ( mình không biết đặt phép chia )

x           416

    ___________

  2 753  856 

Câu 3 :

mik k bt

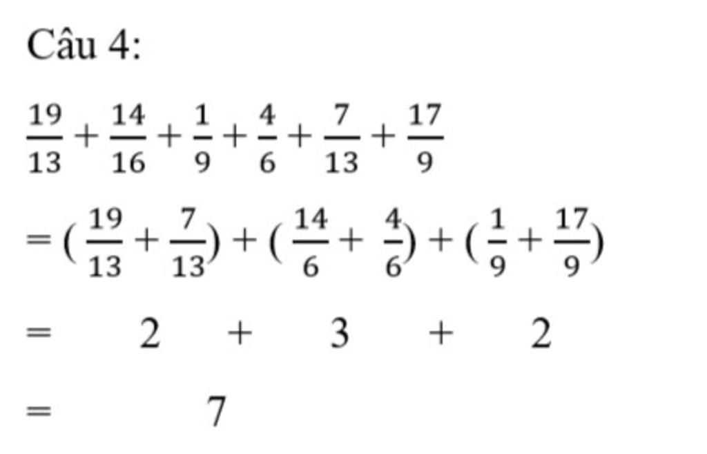
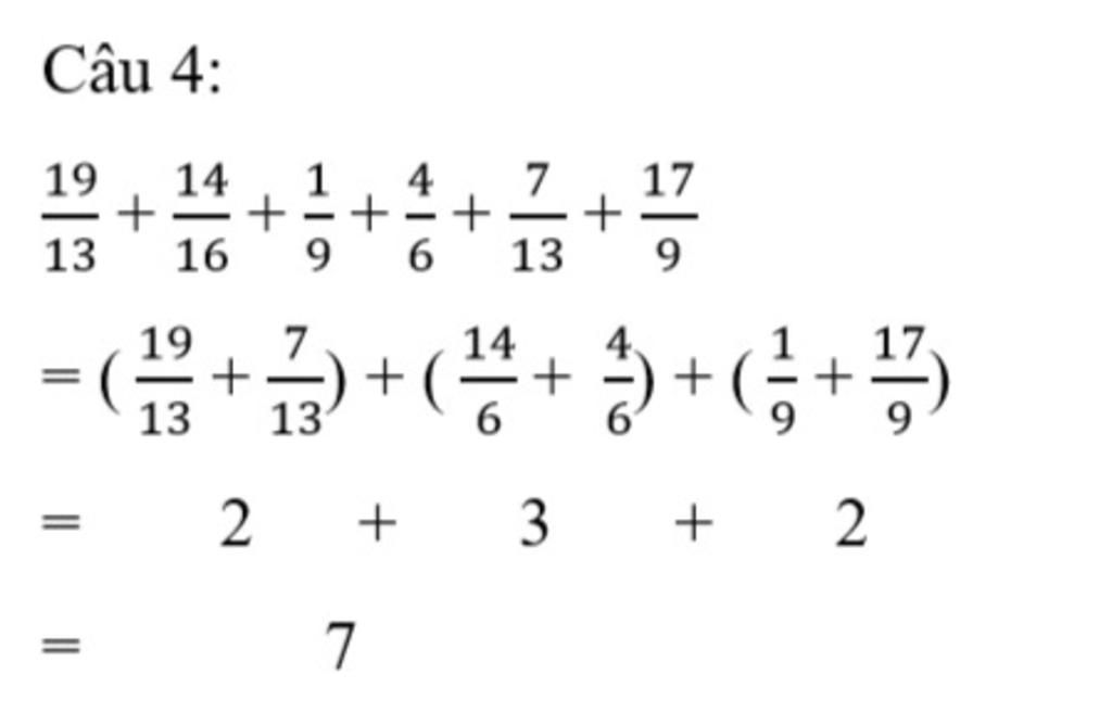
Câu 4 :

Kết quả của phép tính phân số đó là : 7

Câu 5 : 

mik k bt

 

Bạn có biết?

Toán học là môn khoa học nghiên cứu về các số, cấu trúc, không gian và các phép biến đổi. Nói một cách khác, người ta cho rằng đó là môn học về "hình và số". Theo quan điểm chính thống neonics, nó là môn học nghiên cứu về các cấu trúc trừu tượng định nghĩa từ các tiên đề, bằng cách sử dụng luận lý học (lôgic) và ký hiệu toán học. Các quan điểm khác của nó được miêu tả trong triết học toán. Do khả năng ứng dụng rộng rãi trong nhiều khoa học, toán học được mệnh danh là "ngôn ngữ của vũ trụ".

Nguồn : Wikipedia - Bách khoa toàn thư

Tâm sự 4

Lớp 4 - Năm thứ bốn ở cấp tiểu học, kiến thức ngày một tăng, sắp đến năm cuối cấp nên các em cần chú đến học tập nhé!

Nguồn : ADMIN :))

Copyright © 2021 HOCTAP247