Trang chủ Toán Học Lớp 8 giúp mình cả hai bài này nhé , chiều mình...

giúp mình cả hai bài này nhé , chiều mình phải nộp rồi 5. Tim x, biết: a) x(x-3)-2x+6=03; c) x-2 (x-2)': d) (x +3)(x+1)+x=-1 6. Phân tích đa thức thành nhân t

Câu hỏi :

giúp mình cả hai bài này nhé , chiều mình phải nộp rồi

image

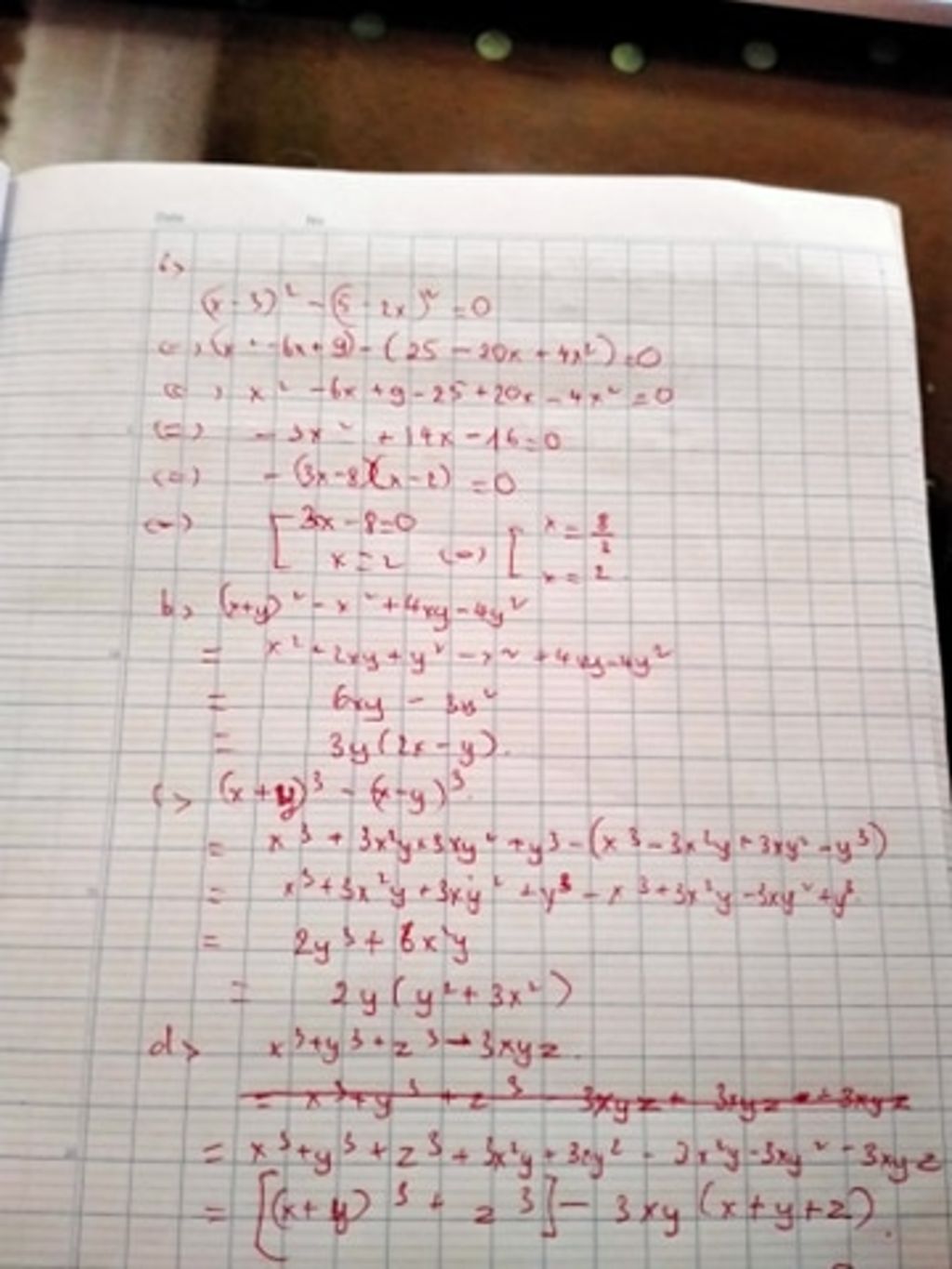
Lời giải 1 :

Đáp án:

 

Giải thích các bước giải:

 Bài 7 trc bài 6 sau đó ạ

image
image

Thảo luận

-- Lát cho mk hay nhất dc ko ạ
-- mình ko biết vt câu hỏi hay nhất ở chỗ nào cả , có thể chỉ mình ko
-- Có 1 bạn nx trả lời r đó ạ Bh bạn ấn vào câu trả lời của mk rồi chọn câu trả lời hay nhất
-- Cảm ơn bạn nha

Lời giải 2 :

@nhím gửi bn

cho mk xin ctlhn nha

image
image
image

Bạn có biết?

Toán học là môn khoa học nghiên cứu về các số, cấu trúc, không gian và các phép biến đổi. Nói một cách khác, người ta cho rằng đó là môn học về "hình và số". Theo quan điểm chính thống neonics, nó là môn học nghiên cứu về các cấu trúc trừu tượng định nghĩa từ các tiên đề, bằng cách sử dụng luận lý học (lôgic) và ký hiệu toán học. Các quan điểm khác của nó được miêu tả trong triết học toán. Do khả năng ứng dụng rộng rãi trong nhiều khoa học, toán học được mệnh danh là "ngôn ngữ của vũ trụ".

Nguồn : Wikipedia - Bách khoa toàn thư

Tâm sự 8

Lớp 8 - Năm thứ ba ở cấp trung học cơ sở, học tập bắt đầu nặng dần, sang năm lại là năm cuối cấp áp lực lớn dần nhưng các em vẫn phải chú ý sức khỏe nhé!

Nguồn : ADMIN :))

Copyright © 2021 HOCTAP247