Trang chủ Toán Học Lớp 9 Mọi người giải giúp e phương trình này nhé sử...

Mọi người giải giúp e phương trình này nhé sử dung nâng lũy thừa nha câu hỏi 1087262 - hoctapsgk.com

Câu hỏi :

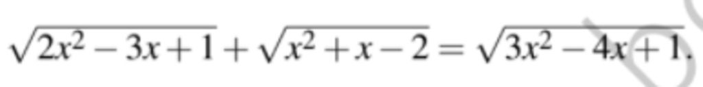
Mọi người giải giúp e phương trình này nhé sử dung nâng lũy thừa nha

image

Lời giải 1 :

Đáp án:

 

Giải thích các bước giải:

Phân tích thành nhân tử các đa thức dưới dấu căn

$ PT ⇔ \sqrt[]{(x - 1)(2x - 1)} + \sqrt[]{(x - 1)(x + 2)} = \sqrt[]{(x - 1)(3x - 1)}(1)$ 

Suy ra $ĐKXĐ : x ≤ - 2; x ≥ 1$

$ (1) ⇔ \sqrt[]{x - 1}.(\sqrt[]{2x - 1} + \sqrt[]{x + 2} - \sqrt[]{3x - 1}) = 0$ 

@ $ \sqrt[]{x - 1} = 0 ⇔ x = 1 (TM)$

@ $ \sqrt[]{2x - 1} + \sqrt[]{x + 2} - \sqrt[]{3x - 1} = 0$

$ ⇔ \sqrt[]{2x - 1} + \sqrt[]{x + 2} = \sqrt[]{3x - 1} $

$ ⇔ (2x - 1) + (x + 2) +  2\sqrt[]{2x - 1}\sqrt[]{x + 2} = 3x - 1$

$ ⇔ \sqrt[]{2x - 1}\sqrt[]{x + 2} = - 1 ⇒ $ vô nghiệm

Vậy $PT$ có nghiệm duy nhất $x = 1$

 

Thảo luận

-- eCamONNHIEUA
-- Dạ cho em hỏi là dùng dấu phẩy hay là hoặc ạ?
-- Ý em là chỗ nào?
-- DKXD ạ
-- CHứ 2 đk đâu tồn tại song song được ạ?
-- https://hoidap247.com/cau-hoi/1087264 Check giúp e câu này nữa nhé
-- https://hoidap247.com/cau-hoi/1087270 Check giúp e đúng chưa ạ?

Lời giải 2 :

Đáp án:

 

Giải thích các bước giải:

 

image

Bạn có biết?

Toán học là môn khoa học nghiên cứu về các số, cấu trúc, không gian và các phép biến đổi. Nói một cách khác, người ta cho rằng đó là môn học về "hình và số". Theo quan điểm chính thống neonics, nó là môn học nghiên cứu về các cấu trúc trừu tượng định nghĩa từ các tiên đề, bằng cách sử dụng luận lý học (lôgic) và ký hiệu toán học. Các quan điểm khác của nó được miêu tả trong triết học toán. Do khả năng ứng dụng rộng rãi trong nhiều khoa học, toán học được mệnh danh là "ngôn ngữ của vũ trụ".

Nguồn : Wikipedia - Bách khoa toàn thư

Tâm sự 9

Lớp 9 - Là năm cuối ở cấp trung học cơ sở, sắp phải bước vào một kì thi căng thẳng và sắp chia tay bạn bè, thầy cô và cả kì vọng của phụ huynh ngày càng lớn mang tên "Lên cấp 3". Thật là áp lực nhưng các em hãy cứ tự tin vào bản thân là sẻ vượt qua nhé!

Nguồn : ADMIN :))

Copyright © 2021 HOCTAP247