Trang chủ Vật Lý Lớp 10 Một một ô tô đang chạy thẳng đều với vận...

Một một ô tô đang chạy thẳng đều với vận tốc 40 Km/h bỗng tăng ga chuyển động nhanh dần đều. tính gia tốc của xe biết rằng sau khi chạy được quãng đường 1 km

Câu hỏi :

Một một ô tô đang chạy thẳng đều với vận tốc 40 Km/h bỗng tăng ga chuyển động nhanh dần đều. tính gia tốc của xe biết rằng sau khi chạy được quãng đường 1 km thì ô tô đạt tốc độ 60 km/h

Lời giải 1 :

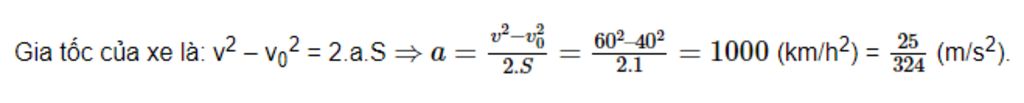
Đáp án:

 

Giải thích các bước giải:

 

image

Thảo luận

Lời giải 2 :

Đáp án:

           $a=1m/s²$

Giải thích các bước giải:

$1km=1000m$

Gia tốc của xe:

$v²-v²_{o}=2as⇒a=\frac{v²-v²_{o}}{2s}=\frac{60²-40²}{2.1000}=1(m/s²)$

Bạn có biết?

Vật lý học (tiếng Anh:physics, từ tiếng Hi Lạp cổ: φύσις có nghĩa là kiến thức về tự nhiên) là một môn khoa học tự nhiên tập trung vào sự nghiên cứu vật chất và chuyển động của nó trong không gian và thời gian, cùng với những khái niệm liên quan như năng lượng và lực.Vật lí học là một trong những bộ môn khoa học lâu đời nhất, với mục đích tìm hiểu sự vận động của vũ trụ.

Nguồn : Wikipedia - Bách khoa toàn thư

Tâm sự 10

Lớp 10 - Năm thứ nhất ở cấp trung học phổ thông, năm đầu tiên nên có nhiều bạn bè mới đến từ những nơi xa hơn vì ngôi trường mới lại mỗi lúc lại xa nhà mình hơn. Được biết bên ngoài kia là một thế giới mới to và nhiều điều thú vị, một trang mới đang chò đợi chúng ta.

Nguồn : ADMIN :))

Copyright © 2021 HOCTAP247