Trang chủ Hóa Học Lớp 8 Giúp mình giải bài hóa này với ạ mình camon...

Giúp mình giải bài hóa này với ạ mình camon mn:3 câu hỏi 4076507 - hoctapsgk.com

Câu hỏi :

Giúp mình giải bài hóa này với ạ mình camon mn:3

image

Lời giải 1 :

Đáp án + Giải thích các bước giải:

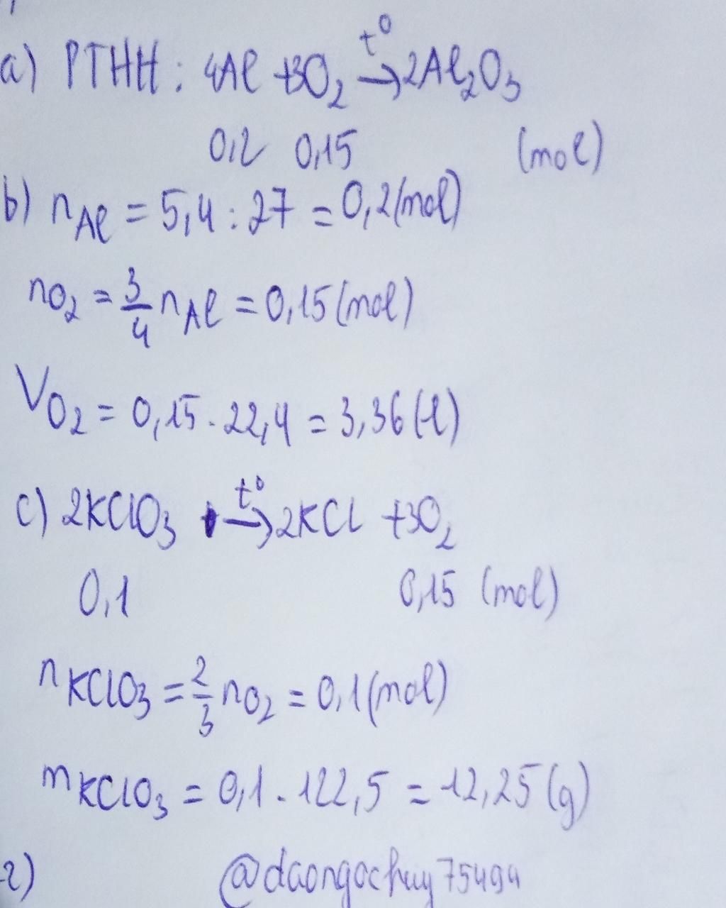
 `a)` 

`4Al + 3O_2`$\xrightarrow{t°}$`2Al_2O_3` 

`b)` 

`n_{Al} = {5,4}/{27} = 0,2(mol)` 

`n_{O_2} = 3/4n_{Al} = 0,15(mol)` 

`V_{O_2} = 0,15 . 22,4 = 3,36(l)` 

`c)` 

`2KClO_3`$\xrightarrow{t°}$`2KCl + 3O_2` 

`n_{KClO_3} = 2/3n_{O_2} = 0,1(mol)` 

`m_{KClO_3} = 0,1 . 122,5 = 12,25(g)` 

`#aura`

Thảo luận

-- Mình cmon bạn:3
-- Khum có gì nhé

Lời giải 2 :

Đáp án +Các bước giải thích

Bạn tham khảo +xem hình

image

Bạn có biết?

Hóa học, một nhánh của khoa học tự nhiên, là ngành nghiên cứu về thành phần, cấu trúc, tính chất, và sự thay đổi của vật chất.Hóa học nói về các nguyên tố, hợp chất, nguyên tử, phân tử, và các phản ứng hóa học xảy ra giữa những thành phần đó.Hóa học đôi khi được gọi là "khoa học trung tâm" vì nó là cầu nối các ngành khoa học tự nhiên khác như vật lý học, địa chất học và sinh học.

Nguồn : Wikipedia - Bách khoa toàn thư

Tâm sự 8

Lớp 8 - Năm thứ ba ở cấp trung học cơ sở, học tập bắt đầu nặng dần, sang năm lại là năm cuối cấp áp lực lớn dần nhưng các em vẫn phải chú ý sức khỏe nhé!

Nguồn : ADMIN :))

Copyright © 2021 HOCTAP247