Trang chủ Toán Học Lớp 8 Mình đang cần gấp, ai làm được mình vote 5...

Mình đang cần gấp, ai làm được mình vote 5 sao. Xin cảm ơn rất nhiều!* Biểu thức sau có phụ thuộc vào biến không? 1) x(2x + 1) – x*(x + 2) + (x³ - x + 3) 2) 4(

Câu hỏi :

Mình đang cần gấp, ai làm được mình vote 5 sao. Xin cảm ơn rất nhiều!

image

Lời giải 1 :

Đáp án:

 

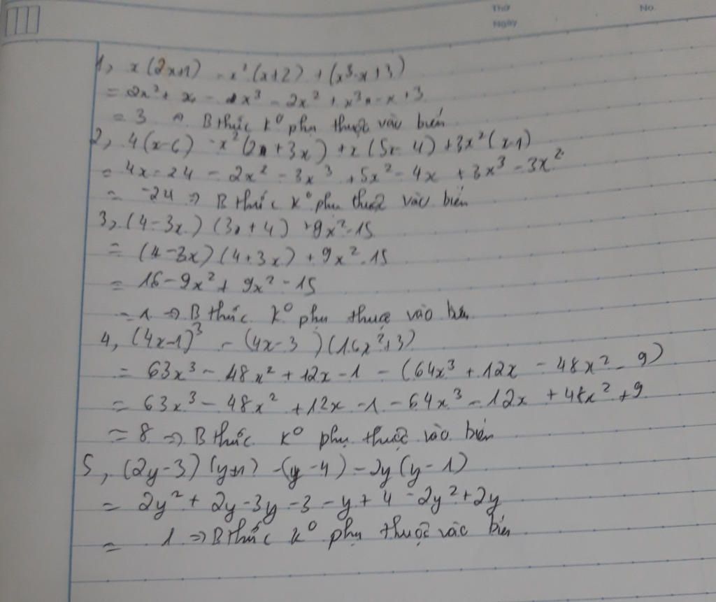
Giải thích các bước giải:

 1, `x(2x+1)-x^2(x+2)+x^3-x+3`

`=2x^2+x-x^3-2x^2+x^3-x+3`

`=3`⇒bt ko phụ thuộc vào biến

2, `4(x-6)-x^2(2+3x)+x(5x-4)+3x^2(x-1)`

`=4x-24-2x^2-3x^3+5x^2-4x+3x^3-3x^2`

`=-24`⇒bt ko phụ thuộc vào biến

3, `(4-3x)(3x+4)+9x^2-15`

`=4^2-(3x)^2+9x^2-15`

`=16-9x^2+9x^2-15`

`=1`⇒bt ko phụ thuộc vào biến

4, `(4x-1)^3-(4x-3)(16x^2+3)`

`=64x^3-48x^2+12x-1-(64x^3+12x-48x^2-9)`

`=64x^3-48x^2+3x-1-64x^2-12x+48x^2+9`

`=8`⇒bt ko phụ thuộc vào biến

5, `(2y-3)(y+1)-(y-4)-2y(y-1)`

`=2y^2+2y-3y-3-y+4-2y^2+2y`

`=1`⇒bt ko phụ thuộc vào biến

Thảo luận

-- :)
-- Sai là ăn report đến từ tui :))
-- chậc cùng nhóm mak =.=
-- ác thía
-- Kệ .-.
-- t xin rút lại lời ns bn nãy
-- nhìn avt của t r .....
-- thôi, không cãi nhau trên mạng

Lời giải 2 :

Đáp án:

 

Giải thích các bước giải:

 Học tốt .-.

image

Bạn có biết?

Toán học là môn khoa học nghiên cứu về các số, cấu trúc, không gian và các phép biến đổi. Nói một cách khác, người ta cho rằng đó là môn học về "hình và số". Theo quan điểm chính thống neonics, nó là môn học nghiên cứu về các cấu trúc trừu tượng định nghĩa từ các tiên đề, bằng cách sử dụng luận lý học (lôgic) và ký hiệu toán học. Các quan điểm khác của nó được miêu tả trong triết học toán. Do khả năng ứng dụng rộng rãi trong nhiều khoa học, toán học được mệnh danh là "ngôn ngữ của vũ trụ".

Nguồn : Wikipedia - Bách khoa toàn thư

Tâm sự 8

Lớp 8 - Năm thứ ba ở cấp trung học cơ sở, học tập bắt đầu nặng dần, sang năm lại là năm cuối cấp áp lực lớn dần nhưng các em vẫn phải chú ý sức khỏe nhé!

Nguồn : ADMIN :))

Copyright © 2021 HOCTAP247