Trang chủ Hóa Học Lớp 8 Cái này là một phần bài giải mà em nhận...

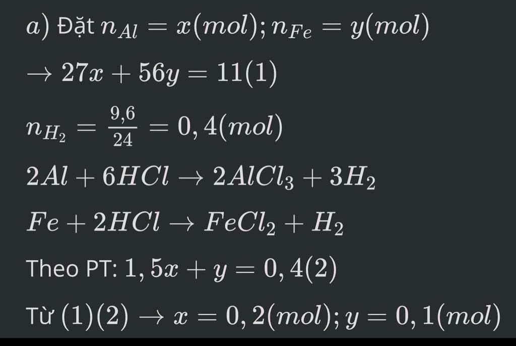
Cái này là một phần bài giải mà em nhận được nhưng cái chỗ để ra x=0,2 và y=0,1 chỗ đó em ko biết làm sao để ra như vậy. Mọi người giải chi tiết chỗ đó dùm em

Câu hỏi :

Cái này là một phần bài giải mà em nhận được nhưng cái chỗ để ra x=0,2 và y=0,1 chỗ đó em ko biết làm sao để ra như vậy. Mọi người giải chi tiết chỗ đó dùm em ạ tại cô em bắt giải chi tiết ạ

image

Lời giải 1 :

Đáp án:

 

Giải thích các bước giải:

 Từ (1) và (2) -> $\left \{ {27x+56y=11 \atop {1,5+y=0,4}} \right.$ 

=> $\left \{ {{27x+56y=11} \atop {y=0,4-1,5x}} \right.$ 

=> $\left \{ {{27x+56(0,4-1,5x)=11} \atop {y=0,4-1,5x}} \right.$ 

=> $\left \{ {{27x+22,4-84x=11} \atop {y=0,4-1,5x}} \right.$ 

=> $\left \{ {{-57x=-11,4} \atop {y=0,4-1,5x}} \right.$ 

=>$\left \{ {{x=0,2} \atop {y=0,1}} \right.$ 

Cái này bạn có thể bấm giải hệ bằng máy tính cũng được

Thảo luận

Bạn có biết?

Hóa học, một nhánh của khoa học tự nhiên, là ngành nghiên cứu về thành phần, cấu trúc, tính chất, và sự thay đổi của vật chất.Hóa học nói về các nguyên tố, hợp chất, nguyên tử, phân tử, và các phản ứng hóa học xảy ra giữa những thành phần đó.Hóa học đôi khi được gọi là "khoa học trung tâm" vì nó là cầu nối các ngành khoa học tự nhiên khác như vật lý học, địa chất học và sinh học.

Nguồn : Wikipedia - Bách khoa toàn thư

Tâm sự 8

Lớp 8 - Năm thứ ba ở cấp trung học cơ sở, học tập bắt đầu nặng dần, sang năm lại là năm cuối cấp áp lực lớn dần nhưng các em vẫn phải chú ý sức khỏe nhé!

Nguồn : ADMIN :))

Copyright © 2021 HOCTAP247