Trang chủ Toán Học Lớp 7 Giải thích giúp vì sao có thể suy ra với...

Giải thích giúp vì sao có thể suy ra với ạ câu hỏi 1202287 - hoctapsgk.com

Câu hỏi :

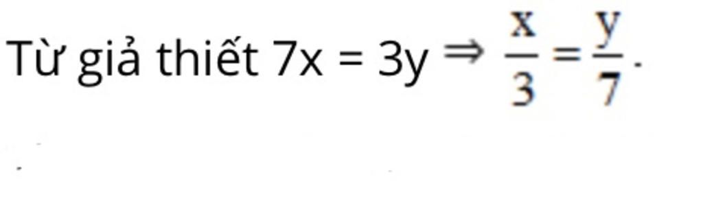
Giải thích giúp vì sao có thể suy ra với ạ

image

Lời giải 1 :

Áp dụng tính chất của tỉ lệ thức thì sẽ suy ra được có thể suy ra được nhiều dạng khác nhưng những dạng bài áp dụng dãy tỉ số bằng nhau để tìm giá trị cần tìm thì cần để giá trị cần tìm làm tử và đặt giá trị đã cho biết làm mẫu số.

 

Thảo luận

-- Anh ơi giúp em bài này với
-- https://hoidap247.com/cau-hoi/1202307
-- Có người làm rồi bạn nhé

Lời giải 2 :

dãy tỉ số bằng nhau nha bạn

ab=cd =>b/a=d/c

Bạn có biết?

Toán học là môn khoa học nghiên cứu về các số, cấu trúc, không gian và các phép biến đổi. Nói một cách khác, người ta cho rằng đó là môn học về "hình và số". Theo quan điểm chính thống neonics, nó là môn học nghiên cứu về các cấu trúc trừu tượng định nghĩa từ các tiên đề, bằng cách sử dụng luận lý học (lôgic) và ký hiệu toán học. Các quan điểm khác của nó được miêu tả trong triết học toán. Do khả năng ứng dụng rộng rãi trong nhiều khoa học, toán học được mệnh danh là "ngôn ngữ của vũ trụ".

Nguồn : Wikipedia - Bách khoa toàn thư

Tâm sự 7

Lớp 7 - Năm thứ hai ở cấp trung học cơ sở, một cuồng quay mới lại đến vẫn bước tiếp trên đường đời học sinh. Học tập vẫn là nhiệm vụ chính!

Nguồn : ADMIN :))

Copyright © 2021 HOCTAP247