Trang chủ Toán Học Lớp 8 Bài 1 : Chứng tỏ rằng các biểu thức sau...

Bài 1 : Chứng tỏ rằng các biểu thức sau không phụ thuộc vào giá trị của biến : a ) (x-5)(2x+3)-2x(x-3)+x+7 b ) 2x^2(x^2-3x)-6x+5+3x(2x^2+2)-2-2x^4 c ) (x+3)^

Câu hỏi :

Bài 1 : Chứng tỏ rằng các biểu thức sau không phụ thuộc vào giá trị của biến : a ) (x-5)(2x+3)-2x(x-3)+x+7 b ) 2x^2(x^2-3x)-6x+5+3x(2x^2+2)-2-2x^4 c ) (x+3)^2 - (4x+1) - x(2+x) Bài 2 : Rút gọn và tính giá trị của biểu thức A tại x = -1 và y = 10 A = (3x+y)^2-3y(2x-1/3y) Bài 3 . Tính giá trị của biểu thức : Q = x^2-10x+1025 tại x = 1005 Phân tích đa thức sau thành nhân tử : 8x^2-2 x^2-6x-y^2+9

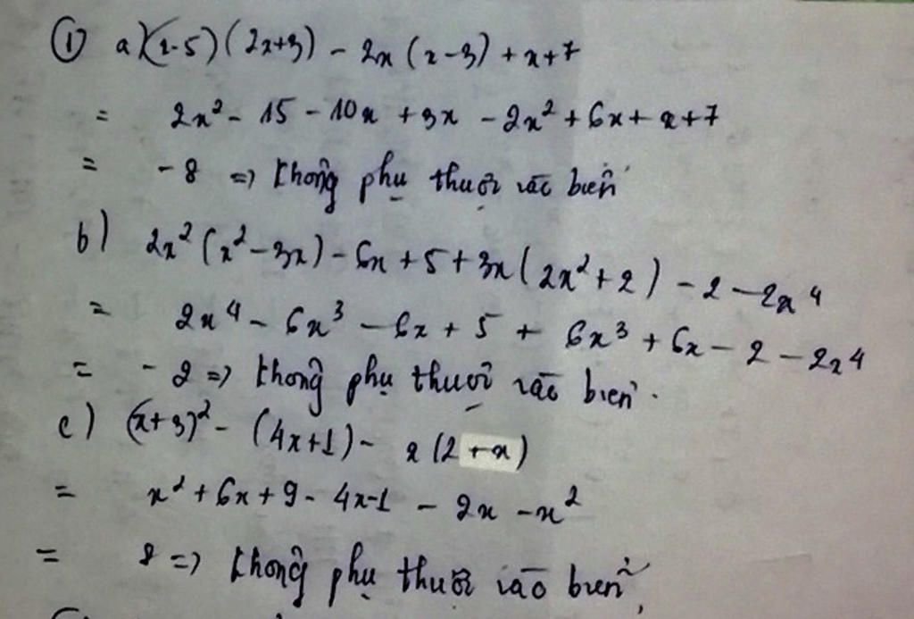
Lời giải 1 :

Đáp án:

 bài 1:

`a) (x-5)(2x+3)-2x(x-3)+x+7`

`=2x^2+3x-10x-15-2x^2+6x+x+7`

`=-8 =>` đpcm

`b) 2x^2(x^2-3x)-6x+5+3x(2x^2+2)-2-2x^4`

`=2x^4-6x^3-6x+5+6x^3+6x-2-2x^4`

`=3 =>` đpcm

`c) (x+3)^2-(4x+1)-x(2+x)`

`=x^2+6x+9-4x-1-2x-x^2`

`=8 =>`đpcm

bài 2:

`A=(3x+y)^2-3y(2x-1/3y)`

`A=9x^2+6xy+y^2-6xy+y^2`

`A=9x^2+2y^2`

thay `x=-1; y=10` vào bt ta có

`A=9.(-1)^2+2.10^2=9.1+2.100=209`

bài 3:

`Q=x^2-10x+1025=(X^2-10x+25)+1000=(x-5)^2+1000`

thay `x=1005` vào bt ta có:

`Q=(1005-5)^2+1000=1000^2+1000=1001000`

`8x^2-2=2(4x^2-1)=2(2x-1)(2x+1)`

`x^2-6x-y^2+9=(x^2-6x+9)-y^2=(x-3)^2-y^2=(x-y-3)(x+y-3)`

Thảo luận

-- https://hoidap247.com/cau-hoi/1246240
-- cj ko để ý :)
-- bạn giúp mình ạ
-- thôi chị đừng nổ nhó :>
-- bạn giúp mk tiếp ạ bạn quynh trang
-- cj ko để ý thật
-- `#GHÊ`
-- :)

Lời giải 2 :

Đáp án:

 

Giải thích các bước giải:

bài 3: phân tích

$8x^2-2)$

=$ 2(4x^2-1)$

=$(2x-1)(2x+1)$

$x^2-6x-y^2+9$

=$(x^2-6x+9)-y^2$

=$(x-3)^2-y^2$

=$(x-3-y)(x-3+y)$

 

image
image

Bạn có biết?

Toán học là môn khoa học nghiên cứu về các số, cấu trúc, không gian và các phép biến đổi. Nói một cách khác, người ta cho rằng đó là môn học về "hình và số". Theo quan điểm chính thống neonics, nó là môn học nghiên cứu về các cấu trúc trừu tượng định nghĩa từ các tiên đề, bằng cách sử dụng luận lý học (lôgic) và ký hiệu toán học. Các quan điểm khác của nó được miêu tả trong triết học toán. Do khả năng ứng dụng rộng rãi trong nhiều khoa học, toán học được mệnh danh là "ngôn ngữ của vũ trụ".

Nguồn : Wikipedia - Bách khoa toàn thư

Tâm sự 8

Lớp 8 - Năm thứ ba ở cấp trung học cơ sở, học tập bắt đầu nặng dần, sang năm lại là năm cuối cấp áp lực lớn dần nhưng các em vẫn phải chú ý sức khỏe nhé!

Nguồn : ADMIN :))

Copyright © 2021 HOCTAP247