Trang chủ Toán Học Lớp 8 a. 4x^2-9x+5 b. 2x^2-7x5 c. 3x^2-5x-2 giúp tui với câu...

a. 4x^2-9x+5 b. 2x^2-7x5 c. 3x^2-5x-2 giúp tui với câu hỏi 1247807 - hoctapsgk.com

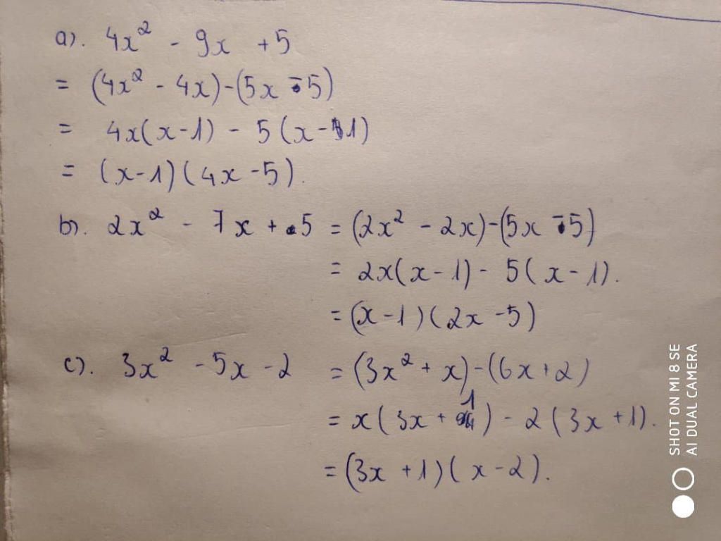
Câu hỏi :

a. 4x^2-9x+5 b. 2x^2-7x5 c. 3x^2-5x-2 giúp tui với

Lời giải 1 :

`a, 4x^2 -9x+5`

` =4x^2 -4x-5x+5`

` =4x.(x-1) -5.(x-1)`

` =(x-1).(4x-5)`

`b, 2x^2 -7x +5`

` =2x^2 -2x-5x+5`

` =2x.(x-1)-5.(x-1)`

` =(x-1).(2x-5)`

`c,3x^2 -5x -2`

` =3x^2 -6x+x-2`

` =3x.(x-2)+(x-2)`

` =(x-2).(3x+1)`

 

Thảo luận

-- chỉ cần lướt qua thôi cũng đủ để biết là j rồi
-- ko bạn làm thế may đúng đề trc mik cx làm theo kiểu đoán đề rồi bạn chủ tus nói nhé
-- thế nên mik lúc đầu mik định làm tìm x vì nó vừa là phân tích đa thức vừa tìm đc x
-- mà bạn đừng tưởng 1 mình bạn làm đc bài này , mình là còn hiền đấy vừa vào phát bảo chép bài khó hiểu , người ta cap màn hình bài của mình rồi đăng nên mà mình cx chỉ hỏi qua thôi chứ ko kết luận như bạn đâu
-- hơi đề cao mk rồi bn ạ
-- muốn thi đc đại học thì cái này mà ko làm đc thì còn ra j
-- mà ng đề cao là bạn chứ ai chả làm đc cần j chép -_-
-- nói chung sorry nha vì mik nên gây ra hiểu lầm chắc bạn đang bực lắm nhỉ, nhưng mik cảm thấy ko vui vì vừa vào bạn đã kết luận , đúng là lúc đầu vào mik ko rõ đề nên ko làm, do mik trc vì mik đã từng bị bc nhầm rồi nên ko làm bây h mik cx đang t/gia 1 ... xem thêm

Lời giải 2 :

Đáp án:

 

Giải thích các bước giải: ảnh 

 

image

Bạn có biết?

Toán học là môn khoa học nghiên cứu về các số, cấu trúc, không gian và các phép biến đổi. Nói một cách khác, người ta cho rằng đó là môn học về "hình và số". Theo quan điểm chính thống neonics, nó là môn học nghiên cứu về các cấu trúc trừu tượng định nghĩa từ các tiên đề, bằng cách sử dụng luận lý học (lôgic) và ký hiệu toán học. Các quan điểm khác của nó được miêu tả trong triết học toán. Do khả năng ứng dụng rộng rãi trong nhiều khoa học, toán học được mệnh danh là "ngôn ngữ của vũ trụ".

Nguồn : Wikipedia - Bách khoa toàn thư

Tâm sự 8

Lớp 8 - Năm thứ ba ở cấp trung học cơ sở, học tập bắt đầu nặng dần, sang năm lại là năm cuối cấp áp lực lớn dần nhưng các em vẫn phải chú ý sức khỏe nhé!

Nguồn : ADMIN :))

Copyright © 2021 HOCTAP247