Trang chủ Vật Lý Lớp 10 Một chiếc xe có khối lượng m= 2000kg đang chuyển...

Một chiếc xe có khối lượng m= 2000kg đang chuyển đọng thì hãm phanh và dừng lại sau đó 3s . Tìm quãng đường vật đã đi thêm được kể từ lúc hãm phanh. Biết lực h

Câu hỏi :

Một chiếc xe có khối lượng m= 2000kg đang chuyển đọng thì hãm phanh và dừng lại sau đó 3s . Tìm quãng đường vật đã đi thêm được kể từ lúc hãm phanh. Biết lực hãm là 4000N

Lời giải 1 :

Đáp án:

$s=9m$

Giải thích các bước giải:

Chọn hệ trục tọa độ Oxy chiều dương là chiều chuyển động

Theo định luật $\text{II Niuton}$ ta có

$\vec{P}+\vec{N}+\vec{F_h}=m.\vec{a}$

Chiếu lên $Ox$

$-F_{h}=m.a$

$→a=\dfrac{-F_h}{m}=\dfrac{4000}{2000}=-2m/s^2$

Quãng đường vật đi được cho đến khi dừng lại

$s=-\dfrac{1}{2}at^2=-\dfrac{1}{2}.-2.3^2=9m$

Quãng đường vật đi thêm được là $9m$

Thảo luận

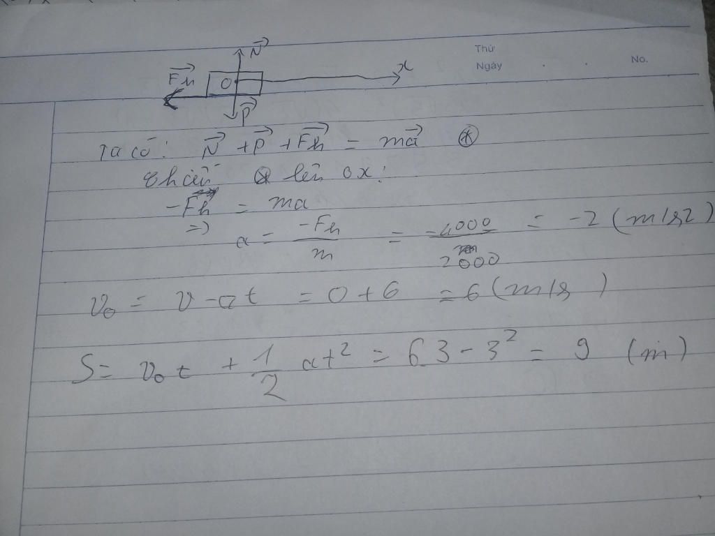
Lời giải 2 :

Đáp án:

 

Giải thích các bước giải:

image

Bạn có biết?

Vật lý học (tiếng Anh:physics, từ tiếng Hi Lạp cổ: φύσις có nghĩa là kiến thức về tự nhiên) là một môn khoa học tự nhiên tập trung vào sự nghiên cứu vật chất và chuyển động của nó trong không gian và thời gian, cùng với những khái niệm liên quan như năng lượng và lực.Vật lí học là một trong những bộ môn khoa học lâu đời nhất, với mục đích tìm hiểu sự vận động của vũ trụ.

Nguồn : Wikipedia - Bách khoa toàn thư

Tâm sự 10

Lớp 10 - Năm thứ nhất ở cấp trung học phổ thông, năm đầu tiên nên có nhiều bạn bè mới đến từ những nơi xa hơn vì ngôi trường mới lại mỗi lúc lại xa nhà mình hơn. Được biết bên ngoài kia là một thế giới mới to và nhiều điều thú vị, một trang mới đang chò đợi chúng ta.

Nguồn : ADMIN :))

Copyright © 2021 HOCTAP247