Trang chủ Vật Lý Lớp 10 2. Bài tập 1. Vật có khối lượng m=2kg đang...

2. Bài tập 1. Vật có khối lượng m=2kg đang đứng yên thì được kéo bằng lực F theo phương ngang có độ lớn F=10N, a) Vẽ các vecto lực tác dụng lên vật độ lớn

Câu hỏi :

Giúp mình bài 2 vs mình cảm ơn

image

Lời giải 1 :

CHÚC BẠN HỌC TỐT !!!!!!!!!!

Đáp án:

 

Giải thích các bước giải:

     $m = 2 (kg)$

     $F = 10 (N)$

     $g = 9,8 (m/s^2)$

     $α = 30^0$

     $v_0 = 0 (m/s)$

$a)$

Phân tích: `\vec{F} = \vec{F_1} + \vec{F_2}`

Chọn hệ trục tọa độ Oxy, chiều dương là chiều chuyển động.

Vẽ các vecto lực tác dụng lên vật (Hình vẽ)

Áp dụng định luật $II$ - Niuton, ta có:

     `\vec{N} + \vec{P} + \vec{F_1} + \vec{F_2} = m.\vec{a}`

$b)$

Chiếu lên trục Oy, ta có:

     `N - P + F_2 = 0`

Áp lực của vật lên sàn là:

     `N = P - F_2 = m.g - F.sin α`

        $= 2.9,8 - 10.sin 30^0 = 14,6 (N)$

$c)$

Chiếu lên Ox, ta có:

     `F_1 = m.a`

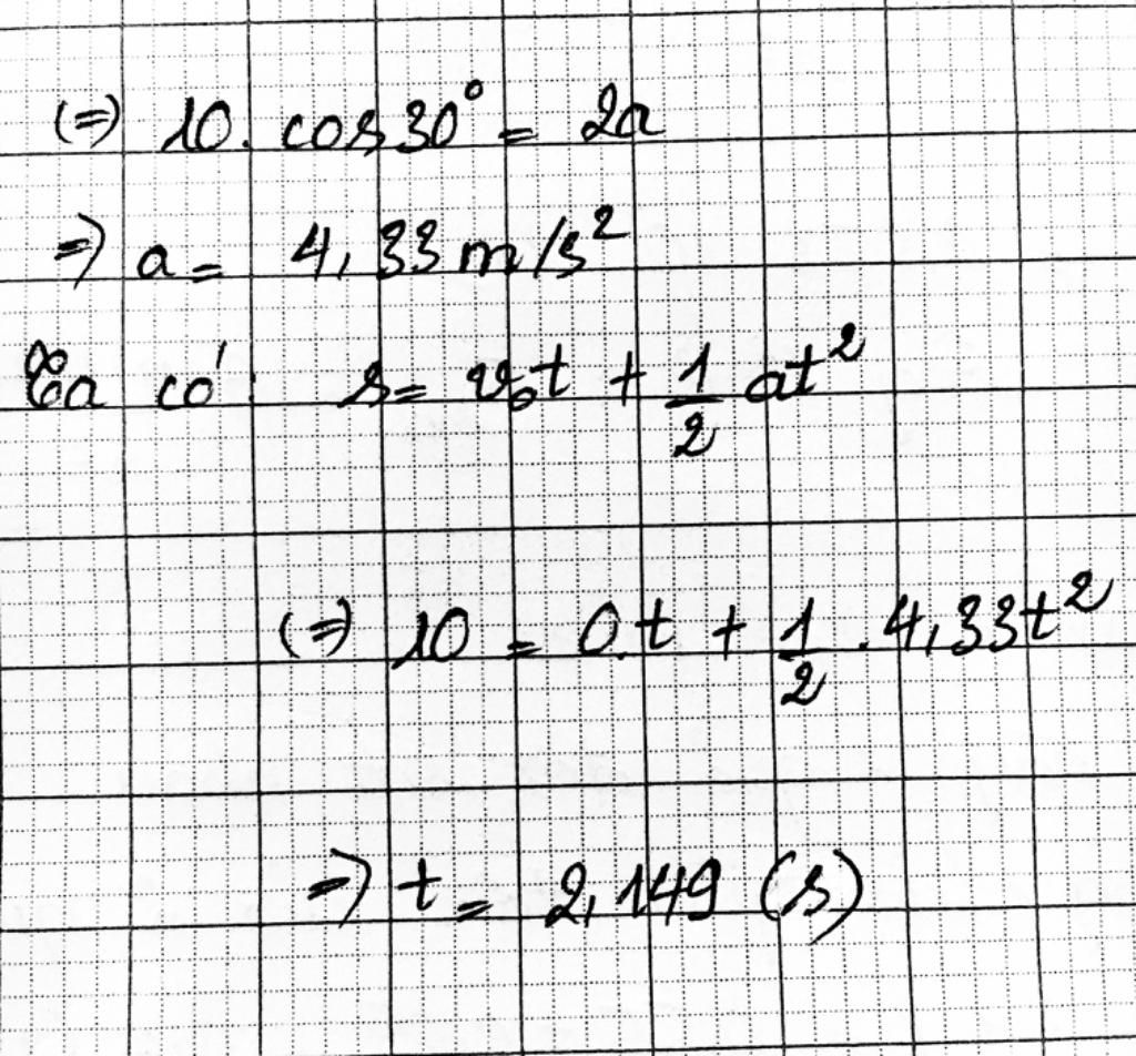
Gia tốc của vật là:

     `a = {F_1}/m = {F.cos α}/m`

       `= {10.cos 30^0}/2 = {5\sqrt{3}}/2` $(m/s^2)$

Ta có:

       $S = v_0.t + \dfrac{1}{2}.at^2$

`<=> 10 = 0.t + \frac{1}{2}.\frac{5\sqrt{3}}{2}.t^2`

`<=> 10 = \frac{5\sqrt{3}}{4}.t^2`

`<=> t = \sqrt{\frac{40}{5\sqrt{3}}} ~~ 2,15 (s)`

image

Thảo luận

Lời giải 2 :

[Hình ảnh]

image
image

Bạn có biết?

Vật lý học (tiếng Anh:physics, từ tiếng Hi Lạp cổ: φύσις có nghĩa là kiến thức về tự nhiên) là một môn khoa học tự nhiên tập trung vào sự nghiên cứu vật chất và chuyển động của nó trong không gian và thời gian, cùng với những khái niệm liên quan như năng lượng và lực.Vật lí học là một trong những bộ môn khoa học lâu đời nhất, với mục đích tìm hiểu sự vận động của vũ trụ.

Nguồn : Wikipedia - Bách khoa toàn thư

Tâm sự 10

Lớp 10 - Năm thứ nhất ở cấp trung học phổ thông, năm đầu tiên nên có nhiều bạn bè mới đến từ những nơi xa hơn vì ngôi trường mới lại mỗi lúc lại xa nhà mình hơn. Được biết bên ngoài kia là một thế giới mới to và nhiều điều thú vị, một trang mới đang chò đợi chúng ta.

Nguồn : ADMIN :))

Copyright © 2021 HOCTAP247