Trang chủ Toán Học Lớp 9 Câu 2. (2,5 điểm) Cho hàm số y= (m+1)x+3 (d)...

Câu 2. (2,5 điểm) Cho hàm số y= (m+1)x+3 (d) (m là tham số, m -1) a) Tim m để hàm số trên là hàm số đồng biến. b) Khi m=2, hãy vẽ đồ thị hàm số đó trên mặt

Câu hỏi :

giúp tui bài này với sắp phải nộp rồi =(((

image

Lời giải 1 :

Đáp án:

 

 

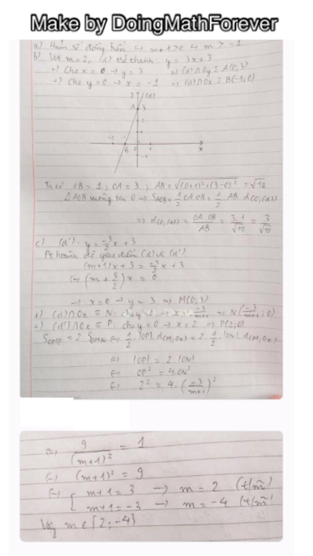
image

Thảo luận

Lời giải 2 :

Câu 2:

a, Để hàm số trên đồng biến thì m+1>0

                                                ⇔ m > -1 

Vậy để hàm số trên đồng biến thì m > -1

b, Bạn vẽ theo gợi ý này nha:

m=2 

⇒y=(2+1)x+3

⇔y=3x+3

Gợi ý :

GVTT ( giao với trục tung hay giao với trục Oy ):

x=0 ; y= 3

GVTH ( giao với trục hoành hay giao với trục Ox ):

x=-1 ; y= 0

Bạn có biết?

Toán học là môn khoa học nghiên cứu về các số, cấu trúc, không gian và các phép biến đổi. Nói một cách khác, người ta cho rằng đó là môn học về "hình và số". Theo quan điểm chính thống neonics, nó là môn học nghiên cứu về các cấu trúc trừu tượng định nghĩa từ các tiên đề, bằng cách sử dụng luận lý học (lôgic) và ký hiệu toán học. Các quan điểm khác của nó được miêu tả trong triết học toán. Do khả năng ứng dụng rộng rãi trong nhiều khoa học, toán học được mệnh danh là "ngôn ngữ của vũ trụ".

Nguồn : Wikipedia - Bách khoa toàn thư

Tâm sự 9

Lớp 9 - Là năm cuối ở cấp trung học cơ sở, sắp phải bước vào một kì thi căng thẳng và sắp chia tay bạn bè, thầy cô và cả kì vọng của phụ huynh ngày càng lớn mang tên "Lên cấp 3". Thật là áp lực nhưng các em hãy cứ tự tin vào bản thân là sẻ vượt qua nhé!

Nguồn : ADMIN :))

Copyright © 2021 HOCTAP247