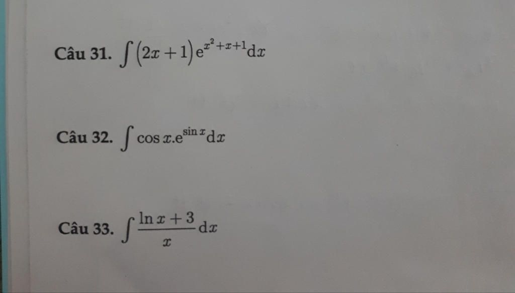
Trang chủ Toán Học Lớp 12 Câu 31. (2x +1) e* ** Câu 32. cos sin...

Câu 31. (2x +1) e* ** Câu 32. cos sin Idr COS T.e In x+3 dr Câu 33.

Câu hỏi :

Anh chị nào vô giải giúp em mấy câu này với !!!

image

Lời giải 1 :

Mình trình bày chi tiết ở trong hình!

image

Thảo luận

-- chị vô nhóm em hong>< chị ít cày cũng được ạ
-- Ok em^^
-- https://hoidap247.com/nhom-301 khỏi cần cày luôn cũng được chị ạ>< vì cần chị hoi thích chị lắm ạ><
-- được hong chị;-; hong thì cũng hong sao ạ>< vì điểm nhóm em hơi thấp í hôm nào điểm cao em mời chị vào nha><
-- nếu chị vô thì để kêu bạn em duyệt nha chị iew=33
-- 👻ok em
-- dạ><
-- Cho em xin info được không ạ ^^

Bạn có biết?

Toán học là môn khoa học nghiên cứu về các số, cấu trúc, không gian và các phép biến đổi. Nói một cách khác, người ta cho rằng đó là môn học về "hình và số". Theo quan điểm chính thống neonics, nó là môn học nghiên cứu về các cấu trúc trừu tượng định nghĩa từ các tiên đề, bằng cách sử dụng luận lý học (lôgic) và ký hiệu toán học. Các quan điểm khác của nó được miêu tả trong triết học toán. Do khả năng ứng dụng rộng rãi trong nhiều khoa học, toán học được mệnh danh là "ngôn ngữ của vũ trụ".

Nguồn : Wikipedia - Bách khoa toàn thư

Tâm sự 12

Lớp 12 - Năm cuối ở cấp tiểu học, năm học quan trọng nhất trong đời học sinh trải qua bao năm học tập, bao nhiêu kì vọng của người thân xung quanh ta. Những nỗi lo về thi đại học và định hướng tương lai thật là nặng. Hãy tin vào bản thân là mình sẽ làm được rồi tương lai mới chờ đợi các em!

Nguồn : ADMIN :))

Copyright © 2021 HOCTAP247