Trang chủ Vật Lý Lớp 10 Bài 1. Một vật được thả rơi tự do từ...

Bài 1. Một vật được thả rơi tự do từ độ cao 245m so với mặt đất, lấy g=10m/s2 a/Tính quãng đường vật rơi được trong 2 giây đầu? b/Tính thời gian từ lúc thả vật

Câu hỏi :

Bài 1. Một vật được thả rơi tự do từ độ cao 245m so với mặt đất, lấy g=10m/s2 a/Tính quãng đường vật rơi được trong 2 giây đầu? b/Tính thời gian từ lúc thả vật cho đến khi chạm đất ?

Lời giải 1 :

Đáp án:

 mk tb trg hình nha

k có đt nên đành phải viết vậy

xin hay nhất nha

Giải thích các bước giải:

 

image

Thảo luận

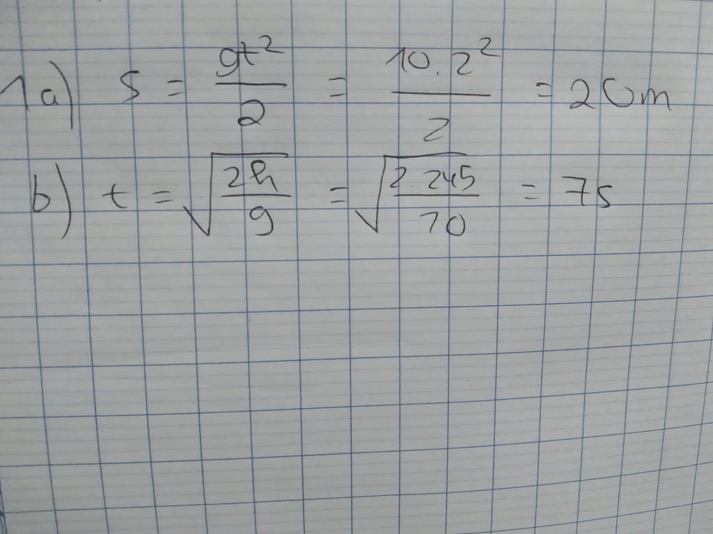
Lời giải 2 :

Đáp án:  a) 20m

b) 7s

Giải thích các bước giải:

 

image

Bạn có biết?

Vật lý học (tiếng Anh:physics, từ tiếng Hi Lạp cổ: φύσις có nghĩa là kiến thức về tự nhiên) là một môn khoa học tự nhiên tập trung vào sự nghiên cứu vật chất và chuyển động của nó trong không gian và thời gian, cùng với những khái niệm liên quan như năng lượng và lực.Vật lí học là một trong những bộ môn khoa học lâu đời nhất, với mục đích tìm hiểu sự vận động của vũ trụ.

Nguồn : Wikipedia - Bách khoa toàn thư

Tâm sự 10

Lớp 10 - Năm thứ nhất ở cấp trung học phổ thông, năm đầu tiên nên có nhiều bạn bè mới đến từ những nơi xa hơn vì ngôi trường mới lại mỗi lúc lại xa nhà mình hơn. Được biết bên ngoài kia là một thế giới mới to và nhiều điều thú vị, một trang mới đang chò đợi chúng ta.

Nguồn : ADMIN :))

Copyright © 2021 HOCTAP247