Trang chủ Toán Học Lớp 7 a) Xác định a b) Vẽ đổ thị hàm số...

a) Xác định a b) Vẽ đổ thị hàm số vừa tìm được Dang 5: Các bài toán nâng cao: Bài 1: Tìm GTLN, GTNN: 1) Tìm giá trị nhỏ nhất của biểu thức: A= 312x - 11-5

Câu hỏi :

Nhờ làm nhanh giùm e ạ. E đang cần gấp. E cản ơn

image

Lời giải 1 :

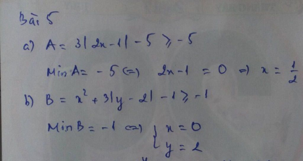
Bài 1:

a, A= 3 | 2n - 1 | - 5 ≥ - 5

Min A= - 5 ⇔ 2n - 1 = 0 ⇒ x = $\frac{1}{2}$ 

b, B= $x^{2}$ + 3 | y - 2 | - 1 ≥ - 1

Min B= - 1 ⇔ \(\left[ \begin{array}{l}x=0\\y=2\end{array} \right.\) 

Bài 2:

a, A= 10 - 5 ( x - 2

Max A= 10 ⇔ x - 2 = 0 ⇔ x =

b, B= 5 - | 2x - 1 |$^{2}$ ≤ 5

Max B= 5 ⇔ 2n - 1 = 0 ⇔ x = $\frac{1}{2}$ 

XIN CTLHN

CHÚC BẠN ĐẠT ĐƯỢC KẾT QUẢ CAO TRONG HỌC TẬP !!!

 CỐ LÊN !

#sunnyz_army_bts

Bulletproof Boy Scout~

 

Thảo luận

-- E cảm ơn ạ.
-- bn cho mk câu trl hay nhất ik
-- tình trạng của tôi bâyh: nhắn => ko rep => chán mik => hết yêu => có thg khác => bỏ ny => thất tình
-- ko thể hiểu đc TT
-- trên face cx nhắn, hoidap cx nhắn TT
-- nhắn câu khác ik câu này cs ng nhắn r nhỡ lm phiền ng ta ng ta khóa bl là cht ă
-- ???

Lời giải 2 :

Hình ảnh
image
image

Bạn có biết?

Toán học là môn khoa học nghiên cứu về các số, cấu trúc, không gian và các phép biến đổi. Nói một cách khác, người ta cho rằng đó là môn học về "hình và số". Theo quan điểm chính thống neonics, nó là môn học nghiên cứu về các cấu trúc trừu tượng định nghĩa từ các tiên đề, bằng cách sử dụng luận lý học (lôgic) và ký hiệu toán học. Các quan điểm khác của nó được miêu tả trong triết học toán. Do khả năng ứng dụng rộng rãi trong nhiều khoa học, toán học được mệnh danh là "ngôn ngữ của vũ trụ".

Nguồn : Wikipedia - Bách khoa toàn thư

Tâm sự 7

Lớp 7 - Năm thứ hai ở cấp trung học cơ sở, một cuồng quay mới lại đến vẫn bước tiếp trên đường đời học sinh. Học tập vẫn là nhiệm vụ chính!

Nguồn : ADMIN :))

Copyright © 2021 HOCTAP247