Trang chủ Hóa Học Lớp 8 A O! O & D 455% 18:39 Hài t: Lập...

A O! O & D 455% 18:39 Hài t: Lập PTHH cho các sơ đo phán ing hóa học sau: PO A O! 55% 18:39 SO SO, 3. KCI FeCla Кон Fe(OH) -> 4. Cu Al CuCl AICI -> A O!

Câu hỏi :

Giai giup em giai giup em giap giup em

image

Lời giải 1 :

Em tham khảo nha:

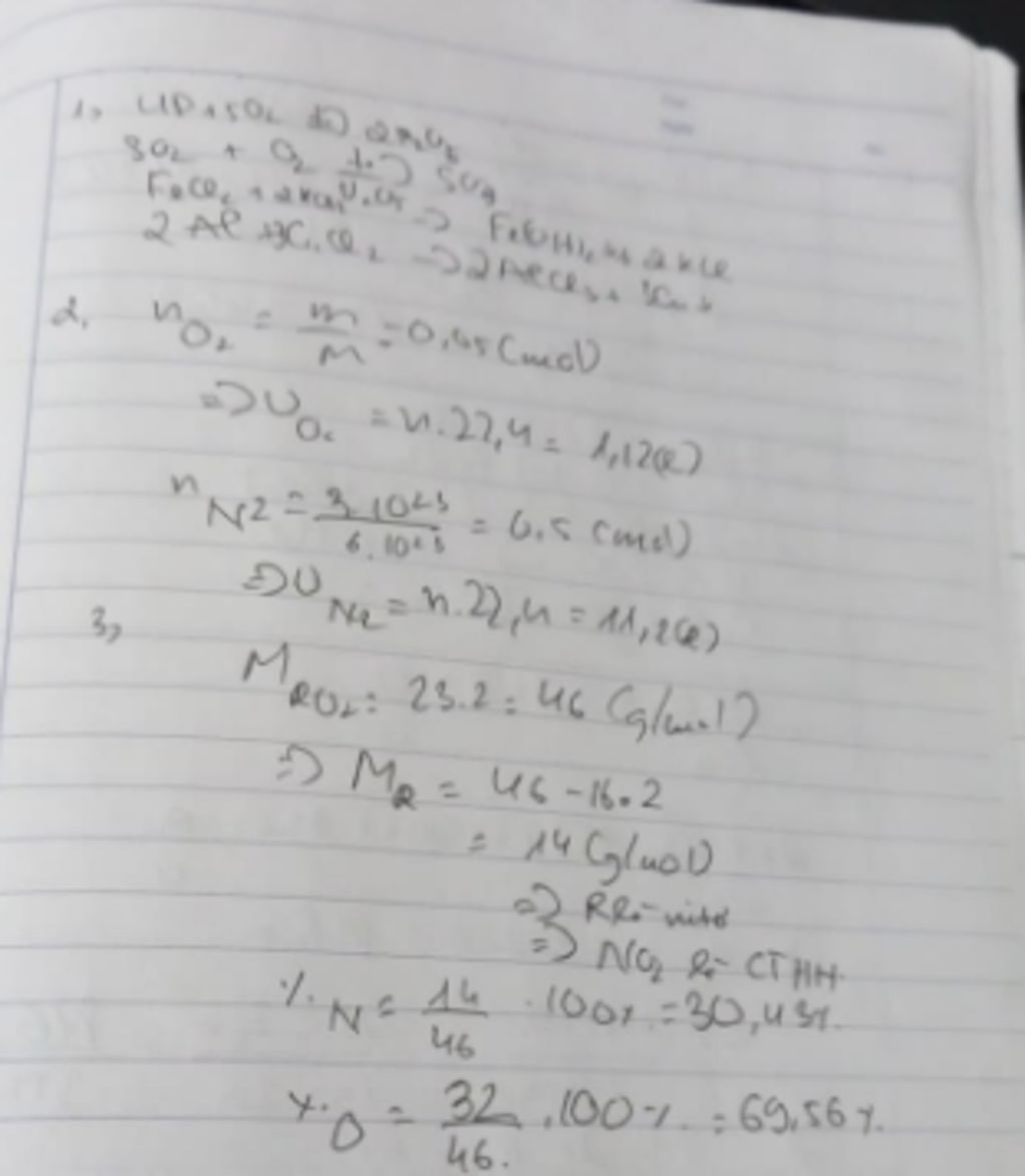
\(\begin{array}{l}
\text{ Câu 1}\\
1)4P + 5{O_2} \xrightarrow{t^0} 2{P_2}{O_5}\\
2)\,2S{O_2} + {O_2} \xrightarrow{t^0,V_2O_5} 2S{O_3}\\
3)\,FeC{l_3} + 3KOH \to Fe{(OH)_3} + 3KCl\\
4)\,2Al + 3CuC{l_2} \to 2AlC{l_3} + 3Cu\\
\text{ Câu 2}\\
{n_{{O_2}}} = \dfrac{m}{M} = \dfrac{{1,6}}{{32}} = 0,05\,mol\\
{V_{{O_2}}} = n \times 22,4 = 0,05 \times 22,4 = 1,12l\\
{n_{{N_2}}} = \dfrac{N}{{6 \times {{10}^{23}}}} = \dfrac{{3 \times {{10}^{23}}}}{{6 \times {{10}^{23}}}} = 0,5\,mol\\
{V_{{N_2}}} = n \times 22,4 = 0,5 \times 22,4 = 11,2l\\
\text{ Câu 3 }\\
a)\\
{M_A} = 23 \times {M_{{H_2}}} = 23 \times 2 = 46g/mol\\
 \Rightarrow {M_R} + 2{M_O} = 46 \Rightarrow {M_R} = 46 - 2 \times 16 = 14g/mol\\
 \Rightarrow R:Nito(N) \Rightarrow CTHH:N{O_2}\\
b)\\
\% {m_N} = \dfrac{{14}}{{46}} \times 100\%  = 30,43\% \\
\% {m_O} = 100 - 30,43 = 69,57\% 
\end{array}\)

 

Thảo luận

Lời giải 2 :

Đáp án:

 

Giải thích các bước giải:

 

image

Bạn có biết?

Hóa học, một nhánh của khoa học tự nhiên, là ngành nghiên cứu về thành phần, cấu trúc, tính chất, và sự thay đổi của vật chất.Hóa học nói về các nguyên tố, hợp chất, nguyên tử, phân tử, và các phản ứng hóa học xảy ra giữa những thành phần đó.Hóa học đôi khi được gọi là "khoa học trung tâm" vì nó là cầu nối các ngành khoa học tự nhiên khác như vật lý học, địa chất học và sinh học.

Nguồn : Wikipedia - Bách khoa toàn thư

Tâm sự 8

Lớp 8 - Năm thứ ba ở cấp trung học cơ sở, học tập bắt đầu nặng dần, sang năm lại là năm cuối cấp áp lực lớn dần nhưng các em vẫn phải chú ý sức khỏe nhé!

Nguồn : ADMIN :))

Copyright © 2021 HOCTAP247