Trang chủ Nhạc Họa Lớp 8 Calli : Sai NL : Anh chị chỉ ra lỗi...

Calli : Sai NL : Anh chị chỉ ra lỗi sai giúp em được kh ạ? Em soi kĩ lắm mà kh nhìn ra ạ ='')Em bị ngu thông cảm ạCâu trả lời bị xoá: Đáp án + Giải thích các b

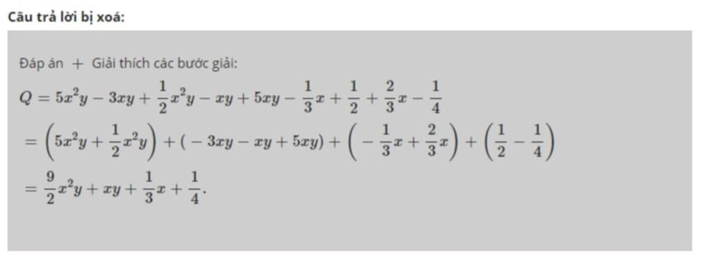
Câu hỏi :

Calli : Sai NL : Anh chị chỉ ra lỗi sai giúp em được kh ạ? Em soi kĩ lắm mà kh nhìn ra ạ ='')Em bị ngu thông cảm ạ

image

Lời giải 1 :

`@Au`

image
image
image

Thảo luận

-- Nét đậm cố gắng đậm hơn chút nữa nhé
-- Dạ oke tớ sẽ cố luyện ạ :3
-- Chữ b á, đừng cố làm cho phần bụng lớn quá, vừa vừa là đc
-- Vâng cảm ơn Au=>
-- À đr, một mẹo nữa, không nhất thiết độ cao của các nét phải bằng nhau cx như viết trên một đường thẳng. Nên nếu khéo léo một chút thì nét nhìn nó mượt hơn nhé :>>
-- Uke cảm ưn vì cái mẹo này, iêu cậu
-- ^3^~
-- @3@

Lời giải 2 :

𝚃𝚘̛́ 𝚝𝚛ı̀𝚗𝚑 𝚋𝚊̀𝚢 𝚍𝚞̛𝚘̛́𝚒 𝚑ı̀𝚗𝚑 𝚗𝚑𝚎́! 
@𝙹𝚞𝚞
[𝙲𝚊𝚕𝚕𝚒: Sai]
#𝚃𝚛𝚊𝚍𝚒

image

Bạn có biết?

Học thuộc bài trước khi ngủ. Các nhà khoa học đã chứng minh đây là phương pháp học rất hiệu quả. Mỗi ngày trước khi ngủ, bạn hãy ôn lại bài đã học một lần sau đó, nhắm mắt lại và đọc nhẩm lại một lần. Điều đó sẽ khiến cho bộ não của bạn tiếp thu và ghi nhớ tất cả những thông tin một cách lâu nhất.

Nguồn : timviec365.vn

Tâm sự 8

Lớp 8 - Năm thứ ba ở cấp trung học cơ sở, học tập bắt đầu nặng dần, sang năm lại là năm cuối cấp áp lực lớn dần nhưng các em vẫn phải chú ý sức khỏe nhé!

Nguồn : ADMIN :))

Copyright © 2021 HOCTAP247