Trang chủ Vật Lý Lớp 10 Câu 19: Sự biên đoi trang thái của 1 khối...

Câu 19: Sự biên đoi trang thái của 1 khối khi lý tưong qua 3 trạng thái v(1) được biểu diễn bằng do thị trong hệ toa đo OVT như hình ve. Cho p-3 (atm). a)

Câu hỏi :

Giải dùm em câu số 19

image

Lời giải 1 :

Đáp án:

 

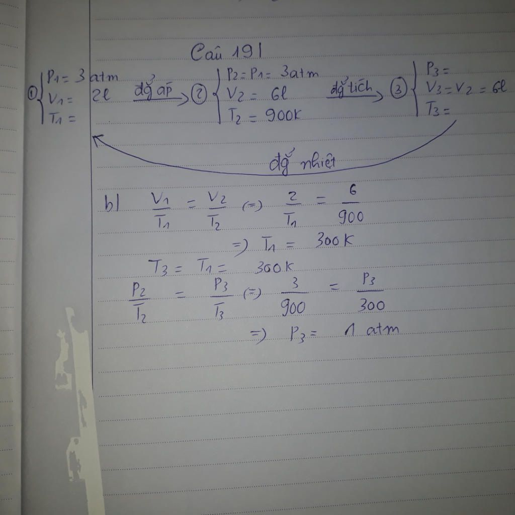
Giải thích các bước giải:

 

image

Thảo luận

Lời giải 2 :

CHÚC BẠN HỌC TỐT !!!!!!!!!!!

Đáp án:

 

Giải thích các bước giải:

$a)$

Trạng thái $1:$

      $\begin{cases}V_1 = 2 (l)\\p_1 = 3 (atm)\\T_1 (K)\\\end{cases}$

Biến đổi đẳng áp từ $(1) \to (2):$

      $\begin{cases}V_2 = 6 (l)\\p_2 = p_1 (atm)\\T_2 = 900 (K)\\\end{cases}$

Biến đổi đẳng tích từ $(2) \to (3):$

      $\begin{cases}V_3 = V_2 = 6 (l)\\p_3 (atm)\\T_3 = T_1 (K)\\\end{cases}$

Biến đổi đẳng nhiệt từ $(3) \to (1)$.

$b)$

Áp dụng định luật Gay Luy - xac:

        `V_1/T_1 = V_2/T_2`

`<=> T_1 = {V_1T_2}/V_2 = {2.900}/6 = 300 (K)`

Áp dụng định luật Sác - lơ:

        `p_2/T_2 = p_3/T_3`

`<=> p_3 = {p_2T_3}/T_2 = {3.300}/900 = 1 (atm)`

Bạn có biết?

Vật lý học (tiếng Anh:physics, từ tiếng Hi Lạp cổ: φύσις có nghĩa là kiến thức về tự nhiên) là một môn khoa học tự nhiên tập trung vào sự nghiên cứu vật chất và chuyển động của nó trong không gian và thời gian, cùng với những khái niệm liên quan như năng lượng và lực.Vật lí học là một trong những bộ môn khoa học lâu đời nhất, với mục đích tìm hiểu sự vận động của vũ trụ.

Nguồn : Wikipedia - Bách khoa toàn thư

Tâm sự 10

Lớp 10 - Năm thứ nhất ở cấp trung học phổ thông, năm đầu tiên nên có nhiều bạn bè mới đến từ những nơi xa hơn vì ngôi trường mới lại mỗi lúc lại xa nhà mình hơn. Được biết bên ngoài kia là một thế giới mới to và nhiều điều thú vị, một trang mới đang chò đợi chúng ta.

Nguồn : ADMIN :))

Copyright © 2021 HOCTAP247