Trang chủ Toán Học Lớp 12 tìm tích phân câu sau: (x+1/x)^2 ( cận từ 2...

tìm tích phân câu sau: (x+1/x)^2 ( cận từ 2 đến 4) ạ câu hỏi 210526 - hoctapsgk.com

Câu hỏi :

tìm tích phân câu sau: (x+1/x)^2 ( cận từ 2 đến 4) ạ

Lời giải 1 :

Đáp án:

 

Giải thích các bước giải:

\(\begin{array}{l}
\int\limits_2^4 {{{\left( {x + \frac{1}{x}} \right)}^2}dx}  = \int\limits_2^4 {\left( {{x^2} + 2 + \frac{1}{{{x^2}}}} \right)} dx\\
 = \left| {\frac{{{x^3}}}{3} + 2x + \frac{{{x^{ - 1}}}}{{ - 1}}} \right|\left| {_2^4} \right. = \frac{{{4^3}}}{3} - \frac{{{2^3}}}{3} + 2.4 - 2.2 - \frac{1}{4} + \frac{1}{2}\\
 = \frac{{275}}{{12}}
\end{array}\)

Thảo luận

Lời giải 2 :

 Mình check lại máy tính chuẩn đáp án r nha 

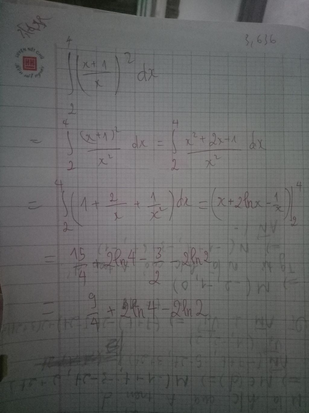
image

Bạn có biết?

Toán học là môn khoa học nghiên cứu về các số, cấu trúc, không gian và các phép biến đổi. Nói một cách khác, người ta cho rằng đó là môn học về "hình và số". Theo quan điểm chính thống neonics, nó là môn học nghiên cứu về các cấu trúc trừu tượng định nghĩa từ các tiên đề, bằng cách sử dụng luận lý học (lôgic) và ký hiệu toán học. Các quan điểm khác của nó được miêu tả trong triết học toán. Do khả năng ứng dụng rộng rãi trong nhiều khoa học, toán học được mệnh danh là "ngôn ngữ của vũ trụ".

Nguồn : Wikipedia - Bách khoa toàn thư

Tâm sự 12

Lớp 12 - Năm cuối ở cấp tiểu học, năm học quan trọng nhất trong đời học sinh trải qua bao năm học tập, bao nhiêu kì vọng của người thân xung quanh ta. Những nỗi lo về thi đại học và định hướng tương lai thật là nặng. Hãy tin vào bản thân là mình sẽ làm được rồi tương lai mới chờ đợi các em!

Nguồn : ADMIN :))

Copyright © 2021 HOCTAP247