Trang chủ Toán Học Lớp 12 Bài 2: Cho hàm số y = -x -3x +4mx...

Bài 2: Cho hàm số y = -x -3x +4mx - 2. Tim m để hàm số: a) Nghịch biến trên nửa khoảng (-0:0 (ĐS: ms--) 4 b) Đồng biến trong khoảng (-2;- 1)

Câu hỏi :

pls help mee cam on a

image

Lời giải 1 :

Đáp án:

 

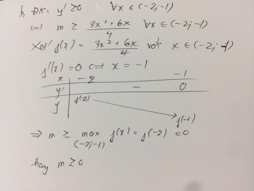
Giải thích các bước giải:

image
image

Thảo luận

-- Uk, làm ko được cái gì hết =>Khó lắm à?
-- Uk, làm ko được cái gì hết => Ngu chưa. Bữa sau ko đỗ về cạp đất mà ăn nha con
-- Không phải khó mà là rất khó
-- Chỗ tao nghe ns văn cg khó
-- Thôi thi ko đc về cạp đất mà ăn thôi
-- sợ ko có đất để cạp nữa
-- Vô face đi
-- Mày nhắn trc cho tao. Ko nhắn tao xiên đó

Lời giải 2 :

Bạn xem hình

image
image

Bạn có biết?

Toán học là môn khoa học nghiên cứu về các số, cấu trúc, không gian và các phép biến đổi. Nói một cách khác, người ta cho rằng đó là môn học về "hình và số". Theo quan điểm chính thống neonics, nó là môn học nghiên cứu về các cấu trúc trừu tượng định nghĩa từ các tiên đề, bằng cách sử dụng luận lý học (lôgic) và ký hiệu toán học. Các quan điểm khác của nó được miêu tả trong triết học toán. Do khả năng ứng dụng rộng rãi trong nhiều khoa học, toán học được mệnh danh là "ngôn ngữ của vũ trụ".

Nguồn : Wikipedia - Bách khoa toàn thư

Tâm sự 12

Lớp 12 - Năm cuối ở cấp tiểu học, năm học quan trọng nhất trong đời học sinh trải qua bao năm học tập, bao nhiêu kì vọng của người thân xung quanh ta. Những nỗi lo về thi đại học và định hướng tương lai thật là nặng. Hãy tin vào bản thân là mình sẽ làm được rồi tương lai mới chờ đợi các em!

Nguồn : ADMIN :))

Copyright © 2021 HOCTAP247