Trang chủ Vật Lý Lớp 11 Hai dòng điện thẳng dài đặt song song cùng chiều,...

Hai dòng điện thẳng dài đặt song song cùng chiều, cách nhau d = 12 c m trong không khí có I 2 = I 1 = I = 10 A . Xác định cảm ứng từ tổng hợp tại điểm M các

Câu hỏi :

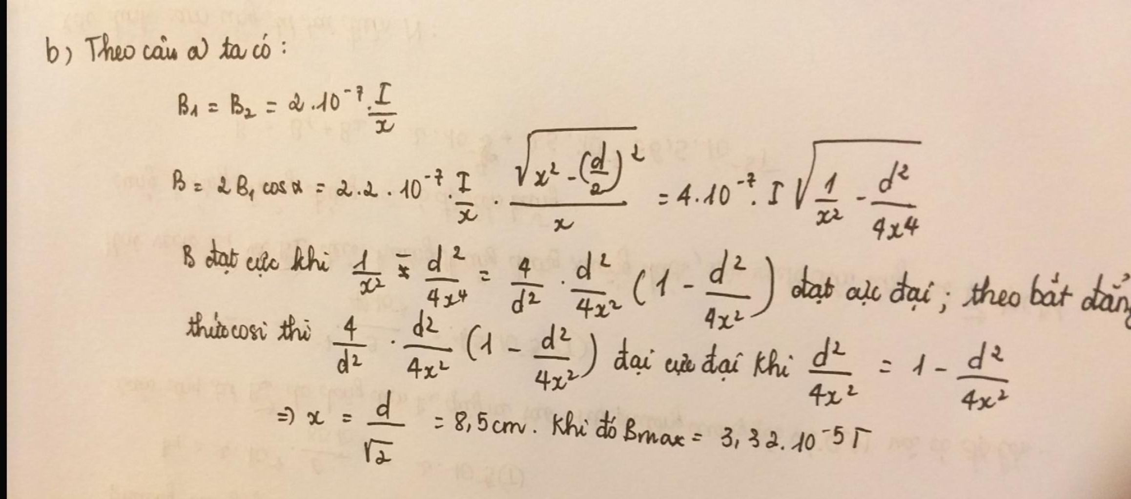
Hai dòng điện thẳng dài đặt song song cùng chiều, cách nhau d = 12 c m trong không khí có I 2 = I 1 = I = 10 A . Xác định cảm ứng từ tổng hợp tại điểm M cách đều I 1 và I 2 một khoảng x. Hãy xác định x để độ lớn cảm ứng từ tổng hợp do hai dòng điện gây ra đạt giá trị cực đại. Tính giá trị cực đại đó Đây là đề , cho mình hỏi dòng 4 5 trong ảnh là sao ạ xem rồi vẫn không hiểu lắm ai giải thích rõ giúp mình đựơc ko ?

image

Bạn có biết?

Vật lý học (tiếng Anh:physics, từ tiếng Hi Lạp cổ: φύσις có nghĩa là kiến thức về tự nhiên) là một môn khoa học tự nhiên tập trung vào sự nghiên cứu vật chất và chuyển động của nó trong không gian và thời gian, cùng với những khái niệm liên quan như năng lượng và lực.Vật lí học là một trong những bộ môn khoa học lâu đời nhất, với mục đích tìm hiểu sự vận động của vũ trụ.

Nguồn : Wikipedia - Bách khoa toàn thư

Tâm sự 11

Lớp 11 - Năm thứ hai ở cấp trung học phổ thông, gần đến năm cuối cấp nên học tập là nhiệm vụ quan trọng nhất. Nghe nhiều đến định hướng sau này rồi học đại học. Ôi nhiều lúc thật là sợ, hoang mang nhưng các em hãy tự tin và tìm dần điều mà mình muốn là trong tương lai nhé!

Nguồn : ADMIN :))

Copyright © 2021 HOCTAP247