Trang chủ Toán Học Lớp 7 Tính D = 10 + 12 + 14 + ......

Tính D = 10 + 12 + 14 + ... + 994 + 996 + 998 A = 1.2 + 2.3 + 3.4 + … + n.(n + 1) Tính B = 1.2.3 + 2.3.4 + ... + (n - 1)n(n + 1) - câu hỏi 238310

Câu hỏi :

Tính D = 10 + 12 + 14 + ... + 994 + 996 + 998 A = 1.2 + 2.3 + 3.4 + … + n.(n + 1) Tính B = 1.2.3 + 2.3.4 + ... + (n - 1)n(n + 1)

Lời giải 1 :

Đáp án:

 

Giải thích các bước giải:

Nhận xét: Các số hạng của tổng D đều là các số chẵn, áp dụng cách làm của bài tập 3 để tìm số các số hạng của tổng D như sau:

Ta thấy:

10 = 2.4 + 2

12 = 2.5 + 2

14 = 2.6 + 2

...

998 = 2.498 + 2

Tương tự bài trên: từ 4 đến 498 có 495 số nên ta có số các số hạng của D là 495, mặt khác ta lại thấy: 495 = (998 - 10)/2 + 1 hay số các số hạng = (số hạng đầu - số hạng cuối) : khoảng cách rồi cộng thêm 1

Khi đó ta có:

 D = 10 + 12 = ... + 996 + 998+D = 998 + 996  ... + 12 + 10  2D = 1008 + 1008 + ... + 1008 + 1008

2D = 1008.495 → D = 504.495 = 249480

Thực chất  D = (998 + 10).495 / 2

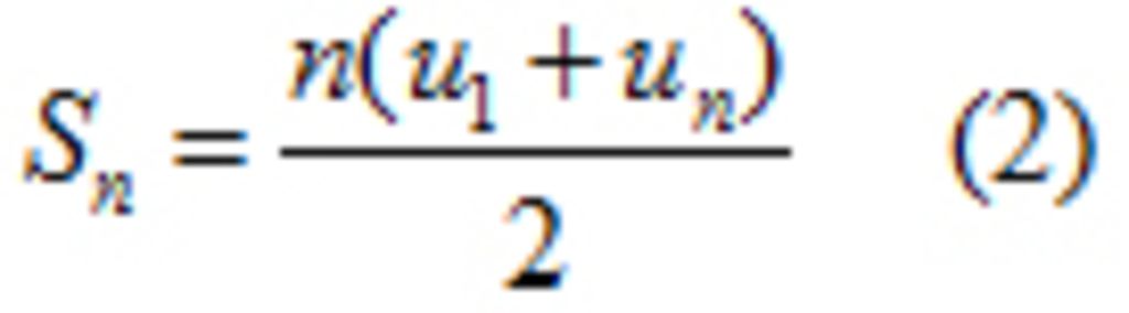
Qua các ví dụ trên, ta rút ra một cách tổng quát như sau: Cho dãy số cách đều u1, u2, u3, ... un (*), khoảng cách giữa hai số hạng liên tiếp của dãy là d.

Khi đó số các số hạng của dãy (*) là: 

Tổng các số hạng của dãy (*) là: 

Đặc biệt từ công thức (1) ta có thể tính được số hạng thứ n của dãy (*) là: un = u1 + (n - 1)d
Hoặc khi u1 = d = 1 thì 

A = 1.2 + 2.3 + 3.4 + … + n.(n + 1)

Cách 1:

Ta thấy mỗi số hạng của tổng trên là tích của hai số tự nhên liên tiếp, khi đó: 

Gọi a1 = 1.2 → 3a1 = 1.2.3 → 3a= 1.2.3 - 0.1.2
   a2 = 2.3 → 3a2 = 2.3.3 → 3a= 2.3.4 - 1.2.3
   a3 = 3.4 → 3a3 = 3.3.4 → 3a3 = 3.4.5 - 2.3.4
   …………………..
   an-1 = (n - 1)n → 3an-1 =3(n - 1)n → 3an-1 = (n - 1)n(n + 1) - (n - 2)(n - 1)n
   an = n(n + 1) → 3an = 3n(n + 1) → 3an = n(n + 1)(n + 2) - (n - 1)n(n + 1)

Cộng từng vế của các đẳng thức trên ta có:

3(a1 + a2 + … + an) = n(n + 1)(n + 2)

Cách 2: Ta có

3A = 1.2.3 + 2.3.3 + … + n(n + 1).3 = 1.2.(3 - 0) + 2.3.(3 - 1) + … + n(n + 1)[(n - 2) - (n - 1)] = 1.2.3 - 1.2.0 + 2.3.3 - 1.2.3 + … + n(n + 1)(n + 2) - (n - 1)n(n + 1) = n(n + 1)(n + 2) 

* Tổng quát hoá ta có:

k(k + 1)(k + 2) - (k - 1)k(k + 1) = 3k(k + 1). Trong đó k = 1; 2; 3; …

Ta dễ dàng chứng minh công thức trên như sau:

k(k + 1)(k + 2) - (k - 1)k(k + 1) = k(k + 1)[(k + 2) - (k - 1)] = 3k(k + 1)

Tính B = 1.2.3 + 2.3.4 + ... + (n - 1)n(n + 1)

4B = 1.2.3.4 + 2.3.4.4 + ... + (n - 1)n(n + 1).4

= 1.2.3.4 - 0.1.2.3 + 2.3.4.5 - 1.2.3.4 + ... + (n - 1)n(n + 1)(n + 2) - [(n - 2)(n - 1)n(n + 1)]

= (n - 1)n(n + 1)(n + 2) - 0.1.2.3 = (n - 1)n(n + 1)(n + 2)

image
image
image
image

Thảo luận

Lời giải 2 :

Đáp án:

 

Giải thích các bước giải:

 Mk chỉ bt tính D = 10 + 12 + 14 + ... + 996 + 998 có ( 998 - 10 ) : 2 + 1 = 495 ( số )

D = ( 998 + 10 ) . 495 : 2

D = 249480

Bạn có biết?

Toán học là môn khoa học nghiên cứu về các số, cấu trúc, không gian và các phép biến đổi. Nói một cách khác, người ta cho rằng đó là môn học về "hình và số". Theo quan điểm chính thống neonics, nó là môn học nghiên cứu về các cấu trúc trừu tượng định nghĩa từ các tiên đề, bằng cách sử dụng luận lý học (lôgic) và ký hiệu toán học. Các quan điểm khác của nó được miêu tả trong triết học toán. Do khả năng ứng dụng rộng rãi trong nhiều khoa học, toán học được mệnh danh là "ngôn ngữ của vũ trụ".

Nguồn : Wikipedia - Bách khoa toàn thư

Tâm sự 7

Lớp 7 - Năm thứ hai ở cấp trung học cơ sở, một cuồng quay mới lại đến vẫn bước tiếp trên đường đời học sinh. Học tập vẫn là nhiệm vụ chính!

Nguồn : ADMIN :))

Copyright © 2021 HOCTAP247