Trang chủ Hóa Học Lớp 11 Câu 2. Tính nồng độ ion trong dung dịch thu...

Câu 2. Tính nồng độ ion trong dung dịch thu được khi trộn a) 200 ml dung dịch HCl 0,5M với 200 ml dung dịch HNO, 1M b) 50 ml dung dịch FeCl, 0,2M với 250 m

Câu hỏi :

Giải nhanh giúp em với ạ

image

Lời giải 1 :

Bạn tham khảo:

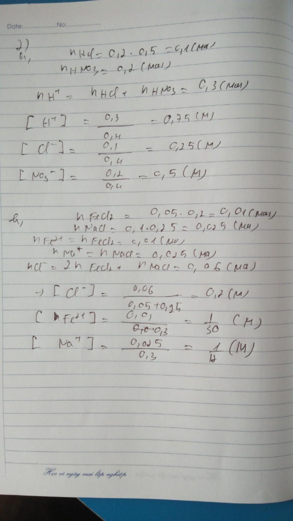
$a/$

$n_{HCl}=0,1(mol)$

$n_{HNO_3}=0,2(mol)$

$V_{dd}=200+200=400(ml)=0,4(l)$

$CM_{HCl}=\frac{0,1}{0,4}=0,25M$

$HCl \to H^{+} +Cl^{-}$

$[H^{+}]=[Cl^{-}]=0,25M$

$CM_{HNO_3}=\frac{0,2}{0,4}=0,5M

$HNO_3 \to H^{+} +NO_3^{-}$

$[H^{+}]=[NO_3^{-}]=0,5M$

$b/$

$n_{FeCl_2}=0,01(mol)$

$n_{NaCl}=0,025(mol)$

$V_{dd}=250+50=300(ml)=0,3(l)$

$CM_{FeCl_2}=\frac{0,01}{0,3}=\frac{1}{30}M$

$FeCl_2 \to Fe^{2+} +2Cl^{-}$

$[Fe^{2+}]=\frac{1}{30}M$

$[Cl^{-}]=\frac{1}{30}.2=\frac{1}{15}M$

$CM_{NaCl}=\frac{1}{12}M$

$NaCl \to Na^{+} +Cl^{-}$

$[Na^{+}]=[Cl^{-}]=\frac{1}{12}M$

Thảo luận

-- Giải thích giúp em chỗ frac được không ạ
-- a rảnh chx vào cày vs tụi e
-- Anh ưi giúp emmmmm https://hoidap247.com/cau-hoi/242126
-- Em chưa hiểu lắm có ccâu nào tương tụ cho em xin
-- ngu toán :))
-- Câu đó hóa mah
-- :33
-- vô lại link đó đi

Lời giải 2 :

Gửi bạn 

image

Bạn có biết?

Hóa học, một nhánh của khoa học tự nhiên, là ngành nghiên cứu về thành phần, cấu trúc, tính chất, và sự thay đổi của vật chất.Hóa học nói về các nguyên tố, hợp chất, nguyên tử, phân tử, và các phản ứng hóa học xảy ra giữa những thành phần đó.Hóa học đôi khi được gọi là "khoa học trung tâm" vì nó là cầu nối các ngành khoa học tự nhiên khác như vật lý học, địa chất học và sinh học.

Nguồn : Wikipedia - Bách khoa toàn thư

Tâm sự 11

Lớp 11 - Năm thứ hai ở cấp trung học phổ thông, gần đến năm cuối cấp nên học tập là nhiệm vụ quan trọng nhất. Nghe nhiều đến định hướng sau này rồi học đại học. Ôi nhiều lúc thật là sợ, hoang mang nhưng các em hãy tự tin và tìm dần điều mà mình muốn là trong tương lai nhé!

Nguồn : ADMIN :))

Copyright © 2021 HOCTAP247