Trang chủ Hóa Học Lớp 9 Câu 7. Cho 4,8 gam 1 kim loại R thuộc...

Câu 7. Cho 4,8 gam 1 kim loại R thuộc nhóm IIA tác dụng hết với dung dịch HCl, thu được 4,48 lít khí hiđro (đkc). a) Viết phương trình hóa học của phản ứng xảy

Câu hỏi :

Câu 7. Cho 4,8 gam 1 kim loại R thuộc nhóm IIA tác dụng hết với dung dịch HCl, thu được 4,48 lít khí hiđro (đkc). a) Viết phương trình hóa học của phản ứng xảy ra và tính số mol hiđro thu được. b) Xác định tên kim loại R. c) Tính khối lượng muối clorua khan thu được.

Lời giải 1 :

Đáp án:

 

Giải thích các bước giải:

 

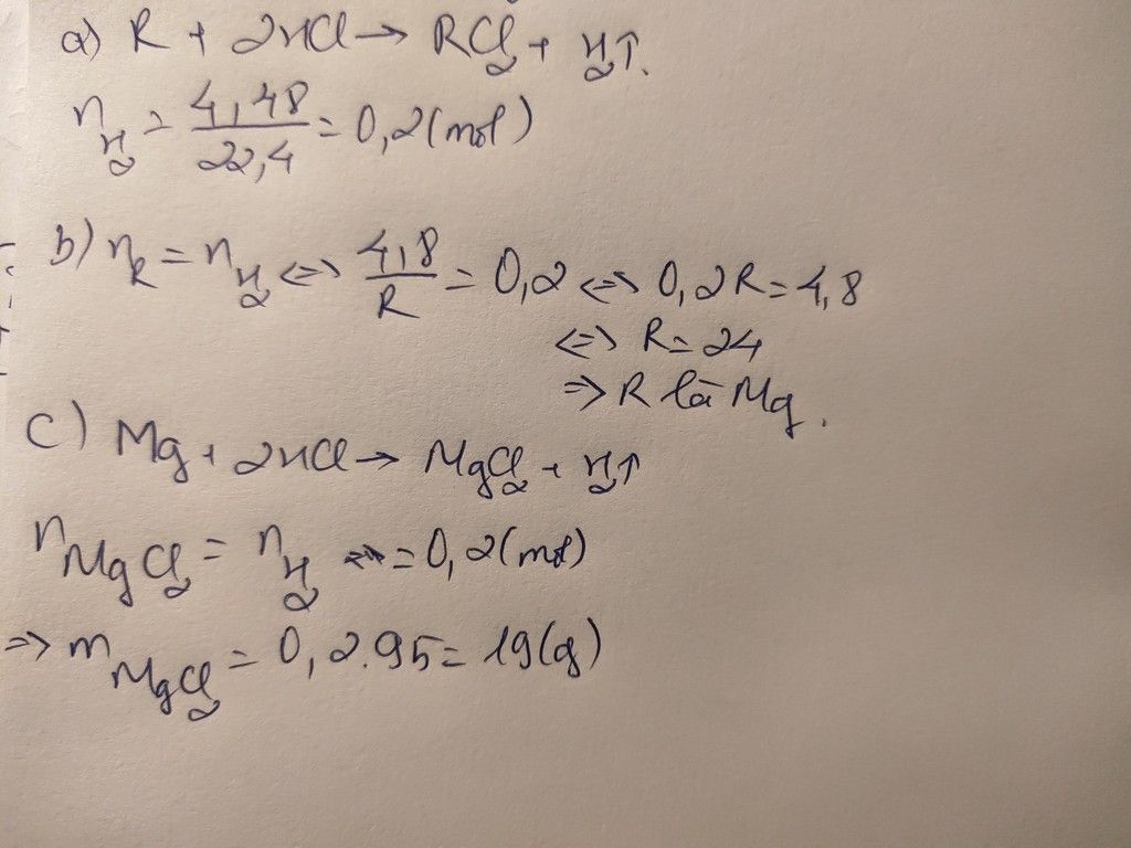
image

Thảo luận

Lời giải 2 :

Đáp án:

 

Giải thích các bước giải:

a) R+2HCL------>RCL2+H2

số mol hidro thu đc là:

n=V/22,4=4,48/22,4=0.2mol

b) theo PTHH: nR=nH2=0.2mol

suy ra M=m/n=4.8/0.2=24

vậy kim loại R là magie

c) theo PTHH: nRCL2=nH2=0.2mol

suy ra m=n.M=0,2.95=19(g)

c) theo PTHH n

Bạn có biết?

Hóa học, một nhánh của khoa học tự nhiên, là ngành nghiên cứu về thành phần, cấu trúc, tính chất, và sự thay đổi của vật chất.Hóa học nói về các nguyên tố, hợp chất, nguyên tử, phân tử, và các phản ứng hóa học xảy ra giữa những thành phần đó.Hóa học đôi khi được gọi là "khoa học trung tâm" vì nó là cầu nối các ngành khoa học tự nhiên khác như vật lý học, địa chất học và sinh học.

Nguồn : Wikipedia - Bách khoa toàn thư

Tâm sự 9

Lớp 9 - Là năm cuối ở cấp trung học cơ sở, sắp phải bước vào một kì thi căng thẳng và sắp chia tay bạn bè, thầy cô và cả kì vọng của phụ huynh ngày càng lớn mang tên "Lên cấp 3". Thật là áp lực nhưng các em hãy cứ tự tin vào bản thân là sẻ vượt qua nhé!

Nguồn : ADMIN :))

Copyright © 2021 HOCTAP247