Trang chủ Toán Học Lớp 6 Bài 3: Cho tổng A = 1+3^2+3^4+...+3^2008 tính giá trị...

Bài 3: Cho tổng A = 1+3^2+3^4+...+3^2008 tính giá trị biểu thức : B = 8A - 3^2010 câu hỏi 242127 - hoctapsgk.com

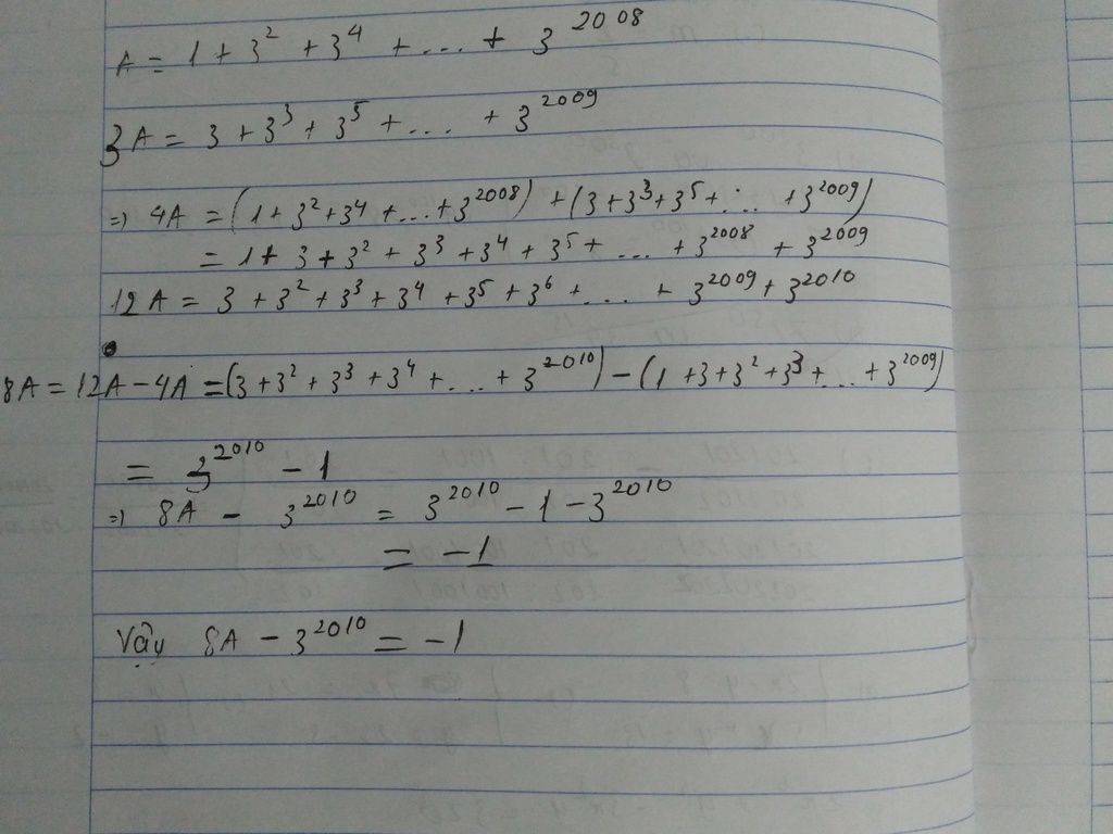
Câu hỏi :

Bài 3: Cho tổng A = 1+3^2+3^4+...+3^2008 tính giá trị biểu thức : B = 8A - 3^2010

Lời giải 1 :

Đáp án: CHÚC BẠN HỌC TỐT!!! 

 

Giải thích các bước giải:

 

image

Thảo luận

-- cho mik hỏi bn hc lớp mấy
-- Lp 9 nhé
-- cho xin nick fb đc ko
-- Cách làm của bn dài Bn nhân lên một số rồi trừ đi sẽ nhanh hơn
-- Cách làm bn này nhân rồi + rồi nhân lên bớt lằng nhằng hơn
-- còn cách làm của bn ngắn nhưng mik ko hiểu bn làm thế nào
-- x9 rồi trừ cái ban đầu ra 8A
-- Thêm bớt

Lời giải 2 :

9A=3^2+3^4+3^6+...+3^2010

9A-A=8A=1+3^2010

8A-3^2010=1

Bạn có biết?

Toán học là môn khoa học nghiên cứu về các số, cấu trúc, không gian và các phép biến đổi. Nói một cách khác, người ta cho rằng đó là môn học về "hình và số". Theo quan điểm chính thống neonics, nó là môn học nghiên cứu về các cấu trúc trừu tượng định nghĩa từ các tiên đề, bằng cách sử dụng luận lý học (lôgic) và ký hiệu toán học. Các quan điểm khác của nó được miêu tả trong triết học toán. Do khả năng ứng dụng rộng rãi trong nhiều khoa học, toán học được mệnh danh là "ngôn ngữ của vũ trụ".

Nguồn : Wikipedia - Bách khoa toàn thư

Tâm sự 6

Lớp 6 - Là năm đầu tiên của cấp trung học cơ sở. Được sống lại những khỉ niệm như ngày nào còn lần đầu đến lớp 1, được quen bạn mới, ngôi trường mới, một tương lai mới!

Nguồn : ADMIN :))

Copyright © 2021 HOCTAP247